Simultaneous and Rapid Measurement of Moisture and Fat Contents in Chilled Pork Based on Hyperspectral Imaging Technology
王雅雯, 贾晓蕾, 何佳欣, 等. 基于高光谱成像技术的冷鲜猪肉水分和脂肪含量的同步快速检测[J]. 肉类研究, 2026,40(5): 65-72. DOI:10.7506/rlyj1001-8123-20250609-169. http://www.rlyj.net.cn
WANG Yawen, JIA Xiaolei, HE Jiaxin, et al. Simultaneous and rapid measurement of moisture and fat contents in chilled pork based on hyperspectral imaging technology[J]. Meat Research, 2026, 40(5): 65-72. DOI:10.7506/rlyj1001-8123-20250609-169. http://www.rlyj.net.cn
食品安全是当前全球食品工业发展的核心议题,而肉类新鲜度作为关键质量指标直接关系到公众健康安全[1]。我国是猪肉生产和消费大国,其中生鲜肉占比80%以上,因其蛋白质含量高、易于消化和风味良好而备受青睐[2],同时生鲜肉的品质是消费者和肉类生产企业关注的重点。猪肉中水分和脂肪等化学成分的含量不仅决定肉的营养价值,还会对肉制品的品质产生重要影响。冷鲜猪肉中的水分含量可以用来评估猪肉的新鲜度和保质期[3]。水分含量不仅是评价冷鲜猪肉品质的关键指标,也是确保食品安全、维护消费者权益、保障生产者经济利益的重要因素。水分含量直接影响猪肉的质地和口感,适宜的水分含量能够确保肉质鲜嫩、多汁,提升消费者的食用体验。但过高的水分含量易导致微生物的生长繁殖,使猪肉腐败变质[4]。根据GB 18394—2020《畜禽肉水分限量》中的规定,合格鲜(冻)猪肉中的水分质量分数应低于76.0%,超过该限量的猪肉可能为非法注水生猪肉。脂肪含量与猪肉的嫩度、风味和烹饪特性有关[5]。脂肪含量的增加与多汁感、嫩度、风味和鲜味的增强高度相关[6]。较高的肌内脂肪含量会使猪肉产生大理石花纹,有助于引起更嫩和多汁的感觉。此外,肉中的大理石花纹通过在加热过程中产生非挥发性分解产物和挥发性芳香化合物增强肉品整体风味[7]。因此,水分和脂肪等化学成分的含量作为决定生鲜猪肉品质高低的重要参数,已成为肉类生产企业重点关注的质量指标。
传统的水分和脂肪含量测定方法操作繁琐、具有破坏性,且难以实现在线实时监测,因此,生鲜猪肉理化性质的快速、无损检测技术成为国内外学者关注的焦点。与传统点式光谱检测技术相比,高光谱成像技术突破了单点测量的局限,能够实现食品表面理化特性的全域扫描。其独特的像素级光谱采集能力不仅可以精准识别局部缺陷区域,还能通过光谱-空间联合建模有效消除样品分布不均带来的检测偏差[8-10],从而显著提升检测精度和可靠性。高光谱成像技术凭借其快速、无损的检测优势,已成为食品品质无损检测的重要技术手段[11-16]。例如,Yu Haidong等[17]利用高光谱成像系统对冷藏罗非鱼片的总挥发性盐基氮(total volatile basic nitrogen,TVB-N)含量进行预测,通过优化变量选择和数据融合方法,成功构建了预测模型。类似地,Li Xiaoxin等[18]采用高光谱成像技术监测4 ℃贮藏鸡肉片的TVB-N含量和总活菌数,并基于数据级融合和特征级融合策略进一步提升了预测性能。然而,关于冷鲜猪肉理化性质无损检测及其可视化分析的研究鲜有报道。
本研究旨在利用高光谱成像技术,通过研究不同预测模型、光谱数据预处理方法及特征波长提取方法对模型精度的影响,开发一种同步测定冷鲜猪肉中水分和脂肪含量的快速检测方法。该方法的建立将有助于实现冷鲜猪肉水分和脂肪含量的快速、精准检测,为肉类品质评估和生产过程控制提供可靠的技术支撑。
128 头宰后24 h的丹系、美系杂交商品猪的冷鲜背最长肌由大连当地屠宰场提供。
30-60石油醚(分析纯) 天津市大茂化学试剂厂。
MR9401A摩飞绞肉机 广东新宝电器股份有限公司;PH070A干燥箱 上海一恒科技有限公司;SZF-06A粗脂肪测定仪 上海新嘉电子有限公司;AB204-N电子分析天平 瑞士梅特勒-托利多公司;GaiaSorter-Dual高光谱成像仪 四川双利合谱科技有限公司。
1.3.1 样品制备
将冷鲜猪背最长肌冷链运回实验室后进行预处理,共计128 份样本。去除可见的脂肪及肉皮部分,分割成1 cm厚的猪排,于4 ℃下放置30 min后,通过高光谱成像系统扫描获得高光谱图像,随后使用绞肉机将猪排搅碎并混合均匀,进行水分和脂肪含量测定。
1.3.2 水分含量测定
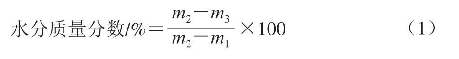
根据GB 5009.3—2016《食品安全国家标准 食品中水分的测定》中的直接干燥法测定冷鲜猪肉水分含量。首先取出洁净的称量皿,使其恒质量(m1/g),取3 份(2.5±0.5)g肉末放入称量皿中,记录称量皿和样品的总质量(m2/g),于(105±2)℃的烘箱内烘至恒质量(差值≤0.000 2 g),记录称量皿和已干燥样品的总质量(m3/g),水分含量按式(1)计算:
1.3.3 脂肪含量测定
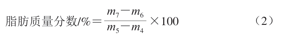
根据GB 5009.6—2016《食品安全国家标准 食品中脂肪的测定》中的索氏抽提法测定冷鲜猪肉脂肪含量。首先取出洁净的称量皿,使其恒质量(m4/g),取3 份(5.0±0.5)g肉末放入称量皿中,记录称量皿和样品的总质量(m5/g),于(105±5)℃的烘箱内干燥1 h后,在研钵中研细,移入滤纸桶,称量皿和研钵中的残余样品用沾有石油醚的脱脂棉擦净,并将棉花一同放入滤纸桶中,用脱脂棉纱布固定。将滤纸筒放入索氏提取虹吸管内,连接已干燥至恒质量的索氏抽提烧瓶(质量记为m6/g),加入石油醚至瓶内容积的1/2处,60 ℃水浴加热,使石油醚不断回流抽提。提取完毕后,回收石油醚,待接收瓶内溶剂剩余1~2 mL时取下索氏抽提烧瓶,于(100±5)℃烘箱干燥1 h,于干燥器内冷却0.5 h至恒质量,记录接收瓶和脂肪的总质量(m7/g),脂肪含量按式(2)计算:
1.3.4 高光谱图像采集
高光谱成像系统如图1所示,通常由电荷耦合器件(charge coupled device,CCD)相机、成像光谱仪、光源、样品保持平台、计算机和高光谱成像软件Spectral Cube组成[19]。参考Kamruzzaman等[20]的方法对仪器进行采集前调整,图像采集的条件固定为温度24 ℃、相对湿度65%。将猪肉样品放在平移台上,以2.7 cm/s的速率传送到摄像机视场,逐行扫描。传送速率的选择是为在垂直和水平轴上提供相同的空间分辨率,避免图像尺寸失真,并符合预定的相机曝光时间[21]。CCD相机的曝光时间为9.4 ms。在388~1 045 nm(可见-近红外(visiblenear-infrared,VIS-NIR)范围)和930~1 710 nm(NIR范围)波长范围内获得高光谱图像,连续波段之间光谱增量约为1.3 nm和2.3 nm,共产生520 个和350 个波段。整个图像采集过程由Spectral Cube软件控制。对获得的高光谱图像进行目视检查,发现图像的前10 个和后10 个波段具有较高水平的噪声,会影响光谱数据的处理,因此,将波长调整为405~1 037 nm和957~1 689 nm。为使图像数据不受相机暗电流效应的影响,需要校正原始图像反射率(T0)。分别获得黑白高光谱图像反射率,白色参考图像使用均匀的白色瓷砖,反射率(B)约为99%,而黑暗参考图像通过关闭光源并将不透明盖覆盖物镜收集,反射率(H)约为0%。图像相对反射率(T)按式(3)[22]计算:

图1 高光谱成像系统
Fig. 1 Hyperspectral imaging system
校正后的图像作为后续分析的基础,用于提取光谱信息和特征波长的选择、模型的预测。
1.3.5 光谱特征感兴趣区(region of interest,ROI)的选择与提取
ROI的选择是光谱数据提取的重要环节。本研究采用ENVI 5.3软件,在获取图像和黑白校正之后,使用区域选择工具对进行水分、脂肪含量测定的部分进行人工选择,以NIR波段下的样品选择ROI区域,得到平均光谱并记录。重复相同的步骤,得到所有样品的高光谱数据和128 个样本的平均反射光谱。
1.3.6 光谱数据分析
1.3.6.1 3 种预测模型的对比
分别使用偏最小二乘回归(partial least squares regression,PLSR)、一维卷积神经网络(onedimensional convolutional neural network,1DCNN)、循环神经网络(recurrent neural network,RNN)对全波段光谱数据集(包括VIS-NIR的500 个波段和NIR的330 个波段)建立独立的水分、脂肪含量预测模型,并比较不同模型的预测精度。1DCNN模型:由1 个输入层、6 个卷积层、2 个池化层、6 个全连接层和1 个输出层组成。RNN模型:由1 个输入层、1 个门控循环单元层、1 个全连接层和1 个输出层组成。对于PLSR模型,在The Unscrambler X软件中,分别以原始光谱数据作为自变量X,以冷鲜猪肉的水分、脂肪含量作为因变量Y,建立PLSR全波长模型,采用交叉验证以评价模型预测精度。对于1DCNN和RNN模型,在PyCharm软件中通过Python语言建立预测模型,在程序中将样品按照2∶1划分为训练集和预测集,以原始光谱数据作为自变量X,以冷鲜猪肉的水分、脂肪含量作为因变量Y,建立全波长模型。用R2、均方误差(mean squared error,MSE)、平均绝对误差(mean absolute error,MAE)和可解释方差(explained variance score,EVS)对建立的1DCNN和RNN模型进行评价。
1.3.6.2 光谱数据预处理及其对模型精度的影响
用原始数据建立的模型运算速率可能会因机器噪声的存在而受到影响,进而影响建模准确性。本研究利用The Unscrambler X软件分别选择不同方法对光谱数据进行预处理,包括Savitzky-Golay(S-G)平滑、S-G一阶求导(S-G 1’)和S-G二阶求导(S-G 2’)。数据预处理后,利用该软件进一步建立PLSR预测模型。
1.3.6.3 最佳波长的提取及其对模型精度的影响
用所有数据建立模型的运算速率可能会因数据量大且冗杂而受到影响,进而影响建模准确性。因此,需要对所有光谱数据进行降维处理,提取维度较低的特征波长表征全光谱数据信息,通过特征波长建立模型[23]。本研究分别采用连续投影算法(successive projections algorithm,SPA)、二维相关光谱(two-dimensional correlation spectroscopy,2DCOS)法对光谱数据进行降维处理,进而比较不同预处理方法对预测模型精度的影响。SPA通过使用Python编程语言和PyCharm软件对需要降维的波长进行处理,首先对全波段测试集进行投影操作,将波长投影到其他波长上,选择投影向量最大的波长,再分别建立多元线性回归分析模型,得到建模集交互验证均方根误差(root mean square error in crossvalidation,RMSECV),对应不同的候选子集,其中最小的RMSECV即最优值,需注意,通常SPA选择的特征波长分数不能很大[24]。使用2DCOS方法将获得的全部波长及其预处理后的波长用shige软件进行降维处理,获得同步和异步光谱数据,将数据导入Origin软件作折线图并进行快速寻峰分析。
通过传统方法测定的128 个猪肉样品的水分和脂肪含量的平均值、标准差和范围如表1所示。水分含量可以作为衡量肉新鲜程度的指标[25]。在本研究中,水分质量分数在68.6%~75.4%之间,平均水分质量分数为(73.1±1.4)%,符合GB 18394—2020中冷鲜猪肉水分质量分数≤76.0%的标准。脂肪含量不仅与猪肉营养成分密切相关,还可以影响猪肉的外观(如大理石花纹),从而影响消费者的购买倾向[26]。在本研究中,脂肪质量分数在0.8%~7.8%之间,平均脂肪质量分数为(2.6±1.5)%。这些化学成分的含量变化均在合理范围内,同时具有一定的差异性,这有利于建立准确而稳定的预测模型。
表1 冷鲜猪肉水分和脂肪含量
Table 1 Contents of moisture and fat in chilled pork %

指标平均值标准差最小值最大值水分质量分数73.1 1.468.6 75.4脂肪质量分数2.6 1.5 0.8 7.8
首先利用采集到的冷鲜猪肉原始高光谱全波长数据(400~1 700 nm)与获得的水分、脂肪含量数据建立模型,进而对比这些预测模型的精度。本研究在构建相关模型时分别使用了1 种线性回归算法(PLSR)和2 种深度学习算法(1DCNN和RNN)。如表2~6所示,在PLSR模型建立中采用交互验证法(又称留一交互验证法)可以确定模型的最佳潜在变量个数,用来验证模型的准确性和预测能力[27]。用训练集决定系数(coefficient of square of training set,
)、预测集决定系数(coefficient of determination of prediction set,
)和对应的均方根误差(训练集均方根误差(root mean squared error of training set,RMSEc)和预测集均方根误差(root mean square error of prediction set,RMSEp))对建立的所有PLSR模型进行评价[28]。R2用于判断预测均值是否大于或小于均值基准误差,越接近于1即越好;RMSE能够很好地反映测定精密度[29]。通常而言,当
和
越接近于1,且RMSEc和RMSEp之间的差异性越小,模型的预测结果越好。理想状态下R2为1,RMSE为0。针对1DCNN和RNN模型,本研究采用R2、MSE、MAE和EVS对建立的模型进行评价。R2用于判断预测模型和真实数据的拟合程度,最佳值为1;MSE是拟合数据和原始数据对应样本点的误差的平方和的均值,其值越小说明拟合效果越好;MAE用来描述预测值和真实值的差值,用于评估预测结果和真实数据集的接近程度,其值越小说明拟合效果越好;EVS用于评判回归模型的方差得分,其值取值范围为0~1,越接近于1,说明自变量越能解释因变量的方差变化[30]。对比R2结果表明,无论是基于VIS-NIR波段还是NIR波段,PLSR模型的预测精度远优于1DCNN和RNN模型,后2 个预测模型的精度较差。PLSR是线性模型,且参数较少,更适合模型的建立,本研究涉及的参数包括光谱数据和化学成分数据,这2 个数据相关性较高,关系接近线性。1DCNN模型本质是非线性,相当于局部特征提取器,可能更适用于提取出特征波长后的模型建立;RNN模型本质是非线性,相当于序列建模器,可能因为光谱数据波段较多,导致输入序列过长,发生梯度消失或梯度爆炸问题,不适用于全波长模型。RNN建立的模型明显优于1DCNN建立的模型,可能是因为对于水分和脂肪含量,使用RNN通过深度学习更能探明数据之间的关系。同时,由表2可知,在VISNIR波段下,PLSR预测模型对水分和脂肪含量预测的R2p分别为0.67和0.83,RMSEp分别为0.008和0.006,对脂肪含量表现出较好的预测能力。同时,利用NIR波段数据构建的PLSR预测模型对水分和脂肪含量的预测效果均与VIS-NIR波段的预测精度接近。
表2 基于全波长原始数据构建的水分和脂肪含量PLSR预测模型性能评价
Table 2 Performance evaluation of PLSR models based on full-band raw data for the prediction of moisture and fat contents

波段参数潜在变量数训练集预测集R2 c RMSEcR2 pRMSEp VIS-NIR水分含量130.830.0050.670.008脂肪含量140.910.0040.830.006 NIR水分含量120.860.0050.670.008脂肪含量130.950.0030.850.005
表3 基于全波长原始数据构建的水分和脂肪含量1DCNN预测模型(训练集)性能评价
Table 3 Performance evaluation of 1DCNN models based on full-band raw data for the prediction of moisture and fat contents on the training set

波段参数R2MESMAEEVS VIS-NIR水分含量0.150.000.010.22脂肪含量0.270.000.010.30 NIR水分含量0.210.000.010.30脂肪含量0.170.000.010.35
表4 基于全波长原始数据构建的水分和脂肪含量1DCNN预测模型(预测集)性能评价
Table 4 Performance evaluation of 1DCNN models based on full-band raw data for the prediction of moisture and fat contents on the prediction set

波段参数R2MESMAEEVS VIS-NIR水分含量0.140.000.010.19脂肪含量0.250.000.010.27 NIR水分含量0.190.000.010.29脂肪含量0.150.000.010.32
表5 基于全波长原始数据构建的水分和脂肪含量RNN预测模型(训练集)性能评价
Table 5 Performance evaluation of RNN models based on full-band raw data for the prediction of moisture and fat contents on the training set

波段参数R2MESMAEEVS VIS-NIR水分含量0.170.040.140.17脂肪含量0.560.130.310.53 NIR水分含量0.310.040.140.20脂肪含量0.530.180.370.56
表6 基于全波长原始数据构建的水分和脂肪含量RNN预测模型(预测集)性能评价
Table 6 Performance evaluation of RNN models based on full-band raw data for the prediction of moisture and fat contents on the prediction set

波段参数R2MESMAEEVS VIS-NIR水分含量0.160.050.150.15脂肪含量0.550.090.300.54 NIR水分含量0.310.060.140.34脂肪含量0.490.150.270.50
为消除机器误差和随机噪声对预测模型精度的影响,采用S-G平滑、S-G 1’和S-G 2’ 3 种方法分别对光谱数据进行预处理,并建立PLSR预测模型,对比不同预处理方法对PLSR模型预测精度的影响。如表7、8所示,无论是在VIS-NIR波段还是NIR波段,这3 种预处理方法并不能显著提高模型的准确性。在VIS-NIR波段下,原始光谱数据经S-G平滑处理后,水分含量模型的预测精度(R2p)降低0.02,而脂肪含量模型的预测精度提高0.01;经过S-G 1’处理后,水分和脂肪含量模型的预测精度均有所下降,但差异较小;经过S-G 2’处理后,水分含量模型的预测精度不变而脂肪模型的预测精度有较大幅度下降。而在NIR波段下,经过S-G平滑处理后,水分含量模型的预测精度有所提升,脂肪含量模型的预测精度有所下降,二者变化均较小;经过S-G 1’和S-G 2’处理后,水分和脂肪含量模型的预测精度均有所下降,但差异同样不明显。经综合对比,水分和脂肪含量的最优预测模型仍为基于NIR波段原始光谱数据所建立的PLSR模型,其
分别为0.67和0.85。
表7 3 种预处理方法对基于VIS-NIR全波长数据构建的水分和脂肪含量PLSR预测模型的影响
Table 7 Effects of three spectral preprocessing methods on PLSR models based on VIS-NIR full-band data for the prediction of moisture and fat contents

预处理方法参数潜在变量数训练集预测集R2 c RMSEcR2 pRMSEp原始水分含量130.830.0050.670.008脂肪含量140.910.0040.830.006 S-G平滑水分含量160.810.0060.650.008脂肪含量140.910.0040.840.006 S-G 1’水分含量150.900.0040.660.008脂肪含量80.910.0040.810.006 S-G 2’水分含量160.980.0020.670.008脂肪含量190.980.0020.780.006
表8 3 种预处理方法对基于NIR全波长数据构建的水分和脂肪含量PLSR预测模型的影响
Table 8 Effects of three spectral preprocessing methods on PLSR models based on NIR full-band data for the prediction of moisture and fat contents

预处理方法参数潜在变量数训练集预测集R2 c RMSEcR2 pRMSEp原始水分含量120.860.0050.670.008脂肪含量130.950.0030.850.005 S-G平滑水分含量110.790.0060.690.007脂肪含量140.940.0030.830.006 S-G 1’水分含量90.850.0050.650.007脂肪含量150.990.0010.830.005 S-G 2’水分含量80.860.0050.580.008脂肪含量80.960.0030.840.005
用全波段光谱数据建立的预测模型的运算速率可能会因数据量大且冗杂而受到影响,进而影响建模准确性,导致无法实现线上快速检测。为解决这一问题,需要通过提取特征波长对全波段光谱数据进行降维处理,进而利用特征波长建立预测模型。因此分别采用SPA和2DCOS 2 种方法提取特征波长,然后利用降维后的光谱数据建立PLSR模型并比较其模型的预测性能。
如表9~12所示,基于特征波长建立的模型整体表现逊于全波长模型。然而,在NIR波段中,经S-G平滑处理后提取SPA特征波长的水分和脂肪含量预测模型精度较全波长模型有所提升。水分含量模型的预测性能甚至优于全波长最佳模型,可能是因为特征波长降低了数据维度,减少了冗余信息,更容易捕捉样品之间的差异[31],但脂肪含量的预测模型不如全波长的最佳模型,可能是因为S-G平滑预处理将噪声降低,更能提取有关参数的特征波长;其他条件下的特征波长模型均不如全波长模型,可能是因为这些选择的波长无法涵盖所有的相关信息,因此在某些情况下无法捕捉到所有的变化和特征。在VIS-NIR波段下,2DCOS模型几乎均优于SPA模型,可能是二维相关光谱法在VIS-NIR波段下更能发现有关水分和脂肪的特征光谱,而原始数据和经S-G平滑处理后,提取SPA特征波长建立的脂肪含量预测模型优于2DCOS,可能是SPA提取的特征波长比2DCOS更多,可以更好地建立相关模型;在NIR波段下,SPA特征波长建立的模型均优于2DCOS,可能是SPA法是根据特征选择波长,这些波长更能反映冷鲜猪肉的化学特征。对于SPA来说,NIR波段下建立的模型几乎均优于VIS-NIR波段。仅在VIS-NIR波段下经S-G 1’预处理后提取特征波长建立的水分含量预测模型优于NIR波段下的,特征波长的提取在一定情况下对模型构建有利。对于2DCOS来说,VIS-NIR波段下的模型预测精度均优于NIR波段。为实现冷鲜肉线上检验的需求,在NIR波段下提取特征波长所建立的最优水分含量预测模型为经S-G平滑预处理结合SPA筛选特征波长构建的PLSR模型,
为0.71;最优脂肪含量预测模型为经S-G平滑预处理结合SPA筛选特征波长构建的PLSR模型,
为0.84。
表9 3 种预处理方法对基于VIS-NIR波段SPA筛选特征波长构建的水分和脂肪含量PLSR预测模型的影响
Table 9 Effect of three spectral preprocessing methods on PLSR models for the prediction of moisture and fat contents based on VIS-NIR data with characteristic wavelengths selected by SPA

预处理方法参数变量数潜在变量数训练集预测集R2 c RMSEcR2 pRMSEp原始水分含量17130.570.0080.400.009脂肪含量16100.840.0050.760.006 S-G平滑水分含量17130.580.0080.440.009脂肪含量1080.860.0050.820.006 S-G 1’水分含量13100.640.0080.570.008脂肪含量11100.80.0060.720.007 S-G 2’水分含量1580.570.0080.440.009脂肪含量440.730.0070.700.007
表10 3 种预处理方法对基于NIR波段SPA筛选特征波长构建的水分和脂肪含量PLSR预测模型的影响
Table 10 Effect of three spectral preprocessing methods on PLSR models for the prediction of moisture and fat contents based on NIR data with characteristic wavelengths selected by SPA

预处理方法参数变量数潜在变量数训练集预测集R2 c RMSEcR2 pRMSEp原始水分含量10100.730.0070.670.008脂肪含量990.840.0050.810.006 S-G平滑水分含量10100.760.0070.710.007脂肪含量10100.880.0050.840.005 S-G 1’水分含量1130.570.0090.540.009脂肪含量1080.830.0060.780.006 S-G 2’水分含量16100.660.0080.520.009脂肪含量1030.760.0060.710.007
表11 3 种预处理方法对基于VIS-NIR波段2DCOS筛选特征波长构建的水分和脂肪含量PLSR预测模型的影响
Table 11 Effect of three spectral preprocessing methods on PLSR models for the prediction of moisture and fat contents based on VIS-NIR data with characteristic wavelengths selected by 2DCOS

预处理方法参数变量数潜在变量数训练集预测集R2 c RMSEcR2 pRMSEp原始水分含量1190.670.0070.620.008脂肪含量11110.740.0070.650.008 S-G平滑水分含量11100.690.0070.630.008脂肪含量11100.750.0070.680.007 S-G 1’水分含量25160.720.0070.570.009脂肪含量2560.860.0050.780.006 S-G 2’水分含量2680.650.0080.500.009脂肪含量26100.830.0050.730.007
表12 3 种预处理方法对基于NIR波段2DCOS筛选特征波长构建的水分和脂肪含量PLSR预测模型的影响
Table 12 Effect of three spectral preprocessing methods on PLSR models for the prediction of moisture and fat contents based on NIR data with characteristic wavelengths selected by 2DCOS

预处理方法参数变量数潜在变量数训练集预测集R2 c RMSEcR2 pRMSEp原始水分含量740.350.0100.320.010脂肪含量760.620.0080.550.009 S-G平滑水分含量860.380.0100.320.010脂肪含量880.690.0070.630.008 S-G 1’水分含量1380.310.0100.160.010脂肪含量13110.480.0090.320.010 S-G 2’水分含量1660.400.0090.240.010脂肪含量1690.580.0080.420.009
本研究基于VIS-NIR和NIR高光谱成像技术,系统比较PLSR、1DCNN和RNN在冷鲜猪肉水分和脂肪含量预测中的建模效果,主要研究结论如下:综合模型性能和稳定性考量,PLSR模型在冷鲜猪肉化学成分预测中表现最优;在VIS-NIR和NIR波段范围内,基于原始光谱数据构建的模型均表现出较高的预测精度。基于NIR原始光谱数据建立的PLSR模型预测效果最佳,其中水分含量预测模型的R2p为0.67,脂肪含量预测模型的R2p达0.85,其中水分含量预测效果并不理想,可能由其测量的复杂性、范围的局限性和数据的误差导致。虽然基于特征波长构建的PLSR模型预测性能较全波段模型略有下降,但差异不显著。值得注意的是,在NIR波段范围内,经S-G平滑结合SPA筛选特征波长构建的PLSR水分含量预测模型的R2p为0.71,其性能略优于全波段模型,表明合理的特征波长提取方法可有效提升模型性能。
本研究通过系统考察不同预测模型、光谱预处理方法和特征波长选择策略对模型精度的影响,成功建立了一种基于高光谱成像技术的冷鲜猪肉水分和脂肪含量同步检测方法。该方法具有快速、准确的特点,可为肉类品质在线监测和加工过程质量控制提供有力的技术支撑。
[1] QU F F, REN D, HE Y, et al. Predicting pork freshness using multiindex statistical information fusion method based on near infrared spectroscopy[J]. Meat Science, 2018, 146: 59-67. DOI:10.1016/j.meatsci.2018.07.023.
[2] 左杰文, 彭彦昆, 李荣娇, 等. 猪肉新鲜度特征波长筛选及无损智能检测装置优化[J]. 农业工程学报, 2025, 41(1): 308-316.DOI:10.11975/j.issn.1002-6819.202409047.
[3] ZHOU G H, XU X L, LIU Y. Preservation technologies for fresh meat: a review[J]. Meat Science, 2010, 86(1): 119-128. DOI:10.1016/j.meatsci.2010.04.033.
[4] HU H X, YONG H M, ZONG S, et al. Effect of chitosan/starch aldehyde-catechin conjugate composite coating on the quality and shelf life of fresh pork loins[J]. Journal of the Science of Food and Agriculture, 2022, 102(12): 5238-5249. DOI:10.1002/jsfa.11877.
[5] LIU J H, SUN X, YOUNG J M, et al. Predicting pork loin intramuscular fat using computer vision system[J]. Meat Science,2018, 143: 18-23. DOI:10.1016/j.meatsci.2018.03.020.
[6] IIDA F, SAITOU K R, KAWAMURA T, et al. Effect of fat content on sensory characteristics of marbled beef from Japanese Black steers[J]. Animal Science Journal, 2015, 86(7): 707-715. DOI:10.1111/asj.12342.
[7] FRANK D, KACZMARSKA K, PATERSON J, et al. Effect of marbling on volatile generation, oral breakdown and in mouth flavor release of grilled beef[J]. Meat Science, 2017, 133: 61-68.DOI:10.1016/j.meatsci.2017.06.006.
[8] FENG Y J, DONG F J, WU C, et al. A new method for quantitative characterization of dynamic migration behavior of NaCl in beef during marinating[J]. Food Research International, 2025, 204: 115877.DOI:10.1016/j.foodres.2025.115877.
[9] PU H B, LIN L, SUN D W. Principles of hyperspectral microscope imaging techniques and their applications in food quality and safety detection: a review[J]. Comprehensive Reviews in Food Science and Food Safety, 2019, 18(4): 853-866. DOI:10.1111/1541-4337.12432.
[10] 邵慧, 杨丽娟, 王程, 等. 利用高光谱图像实现生菜失水率和新鲜度预测[J]. 光电子·激光, 2025, 36(3): 248-257. DOI:10.16136/j.joel.2025.03.0481.
[11] LI Y T, YOU S C, WU S S, et al. Exploring the limit of detection on early implicit bruised ‘Korla’ fragrant pears using hyperspectral imaging features and spectral variables[J]. Postharvest Biology and Technology, 2024, 208: 112668. DOI:10.1016/j.postharvbio.2023.112668.
[12] MENG Q L, FENG S N, TAN T, et al. Visualisation of moisture content distribution maps and classification of freshness level of loquats[J]. Journal of Food Composition and Analysis, 2024, 131:106265. DOI:10.1016/j.jfca.2024.106265.
[13] SHAO Y Y, JI S H, XUAN G T, et al. Soluble solids content monitoring and shelf life analysis of winter jujube at different maturity stages by Vis-NIR hyperspectral imaging[J]. Postharvest Biology and Technology, 2024, 210: 112773. DOI:10.1016/j.postharvbio.2024.112773.
[14] SUN M M, JIANG H Z, YUAN W D, et al. Discrimination of maturity of Camellia oleifera fruit on-site based on generative adversarial network and hyperspectral imaging technique[J]. Journal of Food Measurement and Characterization, 2024, 18(1): 10-25. DOI:10.1007/s11694-023-02145-7.
[15] TIAN P, MENG Q H, WU Z F, et al. Detection of mango soluble solid content using hyperspectral imaging technology[J]. Infrared Physics &Technology, 2023, 129: 104576. DOI:10.1016/j.infrared.2023.104576.
[16] 刘燕德, 王舜. 基于图像和光谱融合的脐橙货架期高光谱成像无损检测研究[J]. 光谱学与光谱分析, 2022, 42(6): 1792-1797.DOI:10.3964/j.issn.1000-0593(2022)06-1792-06.
[17] YU H D, QING L W, YAN D T, et al. Hyperspectral imaging in combination with data fusion for rapid evaluation of tilapia fillet freshness[J]. Food Chemistry, 2021, 348: 129129. DOI:10.1016/j.foodchem.2021.129129.
[18] LI X X, CAI M R, LI M S, et al. Combining Vis-NIR and NIR hyperspectral imaging techniques with a data fusion strategy for the rapid qualitative evaluation of multiple qualities in chicken[J]. Food Control, 2023, 145: 109416. DOI:10.1016/j.foodcont.2022.109416.
[19] SIEDLISKA A, BARANOWSKI P, MAZUREK W. Classification models of bruise and cultivar detection on the basis of hyperspectral imaging data[J]. Computers and Electronics in Agriculture, 2014, 106:66-74. DOI:10.1016/j.compag.2014.05.012.
[20] KAMRUZZAMAN M, ELMASRY G, SUN D W, et al. Nondestructive prediction and visualization of chemical composition in lamb meat using NIR hyperspectral imaging and multivariate regression[J]. Innovative Food Science & Emerging Technologies,2012, 16: 218-226. DOI:10.1016/j.ifset.2012.06.003.
[21] 张嫱, 郑明媛, 张伟, 等. 高光谱成像技术在禽类产品品质无损检测中的研究进展[J]. 食品工业科技, 2013, 34(14): 358-362.DOI:10.13386/j.issn1002-0306.2013.14.029.
[22] 张令标, 何建国, 刘贵珊, 等. 基于可见/近红外高光谱成像技术的番茄表面农药残留无损检测[J]. 食品与机械, 2014, 30(1): 82-85.DOI:10.3969/j.issn.1003-5788.2014.01.018.
[23] 胡会强, 位云朋, 徐华兴, 等. 基于高光谱成像技术和主成分分析对粉葛年限的鉴别[J]. 光谱学与光谱分析, 2023(6): 1953-1960.DOI:10.3964/j.issn.1000-0593(2023)06-1953-08.
[24] 张楠楠, 张晓, 王城坤, 等. 基于高光谱和连续投影算法的棉花叶面积指数估测[J]. 农业机械学报, 2022, 53(S1): 257-262. DOI:10.6041/j.issn.1000-1298.2022.S1.028.
[25] 李健, 刘芳, 黄铭辉, 等. 鲜猪肉在不同储藏温度下挥发性盐基氮的变化[J]. 福建轻纺, 2022(3): 9-11. DOI:10.3969/j.issn.1007-550X.2022.03.003.
[26] KUCHA C T, LIU L, NGADI M O. Non-destructive spectroscopic techniques and multivariate analysis for assessment of fat quality in pork and pork products: a review[J]. Sensors, 2018, 18(2): 377.DOI:10.3390/s18020377.
[27] 张筱蕾, 刘飞, 聂鹏程, 等. 高光谱成像技术的油菜叶片氮含量及分布快速检测[J]. 光谱学与光谱分析, 2014, 34(9): 2513-2518.DOI:10.3964/j.issn.1000-0593(2014)09-2513-06.
[28] 李宜聪, 樊双喜, 吉鑫, 等. 偏最小二乘回归法筛选馥郁香型白酒瓶贮年份特征标记物[J]. 食品与发酵工业, 2020, 46(22): 14-20.DOI:10.13995/j.cnki.11-1802/ts.024113.
[29] CHENG J H, SUN D W, ZENG X N, et al. Non-destructive and rapid determination of TVB-N content for freshness evaluation of grass carp (Ctenopharyngodon idella) by hyperspectral imaging[J].Innovative Food Science & Emerging Technologies, 2014, 21: 179-187. DOI:10.1016/j.ifset.2013.10.013.
[30] 程世达, 王铭鑫, 张蕊, 等. 基于CNN-LSTM网络的道路交通事故严重程度致因分析[J]. 交通工程, 2024, 24(2): 30-35; 43.DOI:10.13986/j.cnki.jote.2024.02.005.
[31] ZHU J J, JIN X, LI S W, et al. Prediction of soil available boron content in visible-near-infrared hyperspectral based on different preprocessing transformations and characteristic wavelengths modeling[J]. Computational Intelligence and Neuroscience, 2022,2022(1): 9748257. DOI:10.1155/2022/9748257.