Comparative Study of Linear and Non-linear Quantitative Analysis Models for the Moisture Content in Pork
王冬, 李成, 平华, 等. 猪肉水分含量线性、非线性定量分析模型的比较研究[J]. 肉类研究, 2026, 40(4): 61-68.DOI:10.7506/rlyj1001-8123-20250520-160. http://www.rlyj.net.cn
WANG Dong, LI Cheng, PING Hua, et al. Comparative study of linear and non-linear quantitative analysis models for the moisture content in pork[J]. Meat Research, 2026, 40(4): 61-68. DOI:10.7506/rlyj1001-8123-20250520-160. http://www.rlyj.net.cn
随着人民生活水平的提升,消费者对猪肉品质的要求日益提高。关于猪肉品质的研究成为近年来肉类农产品研究的重点之一[1-3],其中不乏有学者就温度[4]、加工材料[5]、加工方式[6-7]对猪肉品质的影响进行研究。水分含量是评价猪肉品质的重要指标,在猪肉质地和口感、营养价值、食品安全等方面具有重要意义,并且还会进一步影响猪肉及其制品的理化特性和品质[8]。对猪肉水分含量进行定量分析有助于猪肉品质的快速评价[9]。根据现行国家标准GB 18394—2020《畜禽肉水分限量》[10],猪肉水分质量分数不应超过76%。对猪肉水分含量的检测采用现行国家标准GB 5009.3—2016《食品安全国家标准食品中水分的测定》[11]规定的方法。传统分析方法具有分析时间长、操作复杂等特点,难以在短时间内得到大量猪肉样品的水分含量检测值。
近20余年来,随着化学计量学的迅速发展和计算机技术的飞跃,近红外光谱技术以其快速、高效的特点,被广泛应用于现代农业生产的诸多领域[12-14],在食品加工过程分析[15]、肉类品质研究[16]等方面均具有十分广泛的应用。同时,近红外光谱技术也被广泛应用于牛肉冻融成熟过程研究[17]、猪肉品质分析[18-19]、禽肉脂肪含量预测[20]、肉制品脂肪分布分析[21]、肉类鉴别[22-23]和掺假检测[24]等。与此同时,近红外光谱技术也被广泛应用于肉类及有关产品的水分含量快速检测[25]。
近年来,近红外光谱技术应用于肉类品质快速检测的有关标准先后发表并实施[26-27],表明该技术已成为肉类品质快速检测方面的标准方法。关于猪肉水分含量定量分析模型的建立究竟该采用何种算法,根据现行国家标准GB/T 40467—2021《畜禽肉品质检测 近红外法通则》[26],“可采用主成分回归、偏最小二乘法等线性回归方法”;而根据现行国家标准GB/T 41366—2022《畜禽肉品质检测 水分、蛋白质、脂肪含量的测定 近红外法》[27],可“选择合适的波长或频率、变量数据以及多元校正方法”。从前期调研的结果来看,主要有2 个方面的问题:1)现行国家标准中没有提及采用非线性算法建立猪肉水分含量的定量分析模型,而现有文献报道中,很多采用了非线性算法;其中,线性算法运算相对简单,而对一些品质指标的定量模型而言,非线性算法所建模型的预测准确度更佳;应采用线性算法或非线性算法建立猪肉水分含量的定量分析模型,目前尚无定论。2)现行国家标准中提到“选择合适的波长或频率、变量数据”,而未给出明确的波长或频率、变量数据范围,在建模过程中,通常采用全谱数据,或根据经验选择波长或频率、变量数据,目前在建立肉类品质近红外光谱快速定量分析模型的波段优化选择方面尚缺乏系统性的研究。
为比较线性算法、非线性算法在猪肉水分含量定量模型预测准确性方面的差异,采用便携式线性渐变分光近红外(linear variable filter near-infrared,LVFNIR)光谱仪分别采集整块、切碎2 种状态猪肉样品的LVFNIR光谱,以偏最小二乘回归(partial least square regression,PLSR)作为线性算法的代表、以支持向量回归(support vector regression,SVR)作为非线性算法的代表,分别建立猪肉水分含量的PLSR、SVR定量分析模型,对所建模型进行波段优化及数据预处理优化,通过模型数据对所建模型的预测性能进行评估,从而比较2 种算法所建猪肉水分含量定量分析模型在预测性能(即预测准确性)方面的差异。
从不同市场采集不同批次的市售猪肉样品150 份。
NIR1700便携式LVFNIR光谱仪 美国VIAVI公司;GL224i-1SCN电子分析天平 德国赛多利斯公司;DGG-9246A电热鼓风干燥箱 上海卉绿科学仪器有限公司。
1.3.1 猪肉样品LVFNIR光谱的采集
以仪器配套的聚四氟乙烯白板为参比,光谱单次积分时间10 000 μs,光谱累加次数100 次,采用漫反射方式,将光谱仪镜头对准猪肉样品,以垂直角度分别采集150 份整块猪肉样品和150 份切碎猪肉样品的LVFNIR光谱数据;实验室温度(23±2)℃,相对湿度(25±5)%。
1.3.2 猪肉样品水分含量的测定
按照GB 5009.3—2016[11]中的第一法“直接干燥法”测定每份猪肉样品的水分含量,每个样品进行3 次平行测定,取平均值。
分别采用PLSR、SVR算法,以猪肉LVFNIR光谱数据为自变量、猪肉水分含量测定值为因变量,分别建立猪肉水分含量的PLSR、SVR定量分析模型。分别对猪肉水分含量的PLSR、SVR定量分析模型进行波段优化和数据预处理优化。采用PLSR算法结合留一交叉验证法建立猪肉水分含量线性定量分析模型,并计算各模型的校正决定系数(determination coefficient of calibration,
)、交互验证决定系数(determination coefficient of cross validation,
)、校正均方根误差(root mean square error of calibration,RMSEC)、交互验证均方根误差(root mean square error of cross validation,RMSECV)和相对预测性能(ratio performance deviation,RPD);采用SVR算法结合独立验证法建立猪肉水分含量非线性定量分析模型,并计算各模型的
、验证决定系数(determination coefficient of validation,
)、RMSEC、验证均方根误差(root mean square error of validation,RMSEV)、RPD;分别采用
(或
)评估模型的校正数据相关性、交互验证(或验证)数据相关性,分别采用RMSEC、RMSECV(或RMSEV)评估模型的精密度、准确度,主要采用RPD评估模型预测性能,RPD越高,则模型的预测性能越好。进一步地,基于所建模型预测外部验证集(即外部盲样),计算预测均方根误差(root mean square error of prediction,RMSEP)和预测相关系数(correlation coefficient of prediction,rp)。
如表1所示,经统计,猪肉样品水分质量分数平均值为(71.3±2.9)%;猪肉样品水分质量分数在60.9%~75.4%之间,有88.7%的猪肉样品水分质量分数集中在68%~75%。
表1 猪肉样品水分含量测定统计结果
Table 1 Statistics of the moisture content in pork samples
样本容量最小值/%最大值/%平均值/%标准差/%极差/%变异系数/%15060.975.471.32.914.54.0
整块猪肉样品的LVFNIR光谱如图1a所示。为了增强样品的均匀性、进一步获取猪肉样品内部的光谱信息,将猪肉样品切碎后采集LVFNIR光谱,如图1b所示。为进一步从统计学角度研究2 种状态猪肉样品近红外光谱的区别,分别计算整块猪肉样品的LVFNIR平均光谱和切碎猪肉样品的LVFNIR平均光谱,并计算二者差谱,分别如图1c、d所示。由图1a、b可知,整块、切碎猪肉样品的LVFNIR光谱皆呈宽吸收峰,主要原因是猪肉样品具有较高的水分含量。由图1c可知,整块猪肉样品和切碎猪肉样品LVFNIR光谱的平均光谱存在差异,差谱在976.2、1 162.1、1 378.9 nm出现波谷,分别对应O—H伸缩振动三倍频、O—H伸缩振动二倍频与O—H弯曲振动合频、O—H伸缩振动二倍频,说明切碎样品的表面有更多水分,原因是切碎使猪肉内部的部分水分外溢至表面。

图1 整块(a)、切碎(b)猪肉样品的LVFNIR光谱图及其平均光谱(c)和平均光谱的差谱(d)
Fig. 1 LVFNIR spectra of whole pork pieces (a) and minced pork (b), and their average spectra (c) and average difference spectra (d)
根据PLSR算法结合留一交叉验证法建立猪肉水分含量线性定量分析模型的方法,采用样本集划分基于联合X-Y距离(sample set partitioning based on joint X-Y distances,SPXY)算法从全部样品中选择30 个作为外部验证集,其余120 个样品作为校正集。对全部样品、校正集、外部验证集分别两两进行F检验和t检验,结果表明,全部样品、校正集、外部验证集两两之间的数据方差、平均值均无显著差异,说明校正集、外部验证集数据均具有较好的代表性。
对建模样品剔除异常样本后进行波段优化,在波段优化的基础上进行数据预处理优化。将猪肉样品的LVFNIR光谱按照近红外各倍频区域划分为一倍频区、二倍频区和三倍频区,将3 个倍频区加以组合,即全谱、一倍频、二倍频、三倍频、一倍频和二倍频、一倍频和三倍频、二倍频和三倍频共7 个波段,各波段范围如表2所示。
表2 猪肉样品LVFNIR光谱的各波段范围
Table 2 Band ranges of the LVFNIR spectra of pork samples

波段波长范围/nm全谱908.1~1 676.2一倍频1 267.4~1 676.2二倍频1 075.3~1 267.4三倍频908.1~1 075.3一倍频+二倍频1 075.3~1 676.2一倍频+三倍频1 267.4~1 676.2、908.1~1 075.3二倍频+三倍频908.1~1 267.4
如表3所示,整块猪肉样品LVFNIR光谱各波段PLSR模型中,基于二倍频光谱数据所建模型的R2c、R2 cv分别为0.784 0、0.715 3,RMSEC、RMSECV分别为0.99、1.15,RPD为1.86。该结果表明,对于整块猪肉样品建立水分含量PLSR定量分析模型,基于二倍频光谱数据所建模型具有较好的相关性、精密度、准确度和预测性能。
表3 整块猪肉样品LVFNIR光谱各波段PLSR模型结果
Table 3 Results of the PLSR models for whole pieces of pork based on the different bands of the LVFNIR spectra

注:默认使用的数据处理方法为数据中心化,表4~6同;Nf.模型维数。
波段NfR2 cRMSECR2 cvRMSECVRPD全谱90.781 71.120.701 61.321.83一倍频100.651 71.400.525 71.651.44二倍频80.784 00.990.715 31.151.86三倍频80.719 01.140.628 91.331.63一倍频+二倍频80.688 31.180.610 71.331.60一倍频+三倍频100.552 31.450.367 01.741.25二倍频+三倍频100.741 61.030.631 91.241.65
基于整块猪肉样品LVFNIR光谱的二倍频波段PLSR模型进行预处理优化,如表4所示,当预处理方法为数据中心化时,优化模型的
分别为0.784 0、0.715 3,RMSEC、RMSECV分别为0.99、1.15,RPD为1.86,在各模型中,数据中心化预处理的效果最佳。
表4 整块猪肉样品LVFNIR光谱二倍频PLSR模型预处理优化结果
Table 4 Results of preprocessing optimization of PLSR models for whole pieces of pork based on the 2nd overtone of the LVFNIR spectra

注:SNV.标准正态变量变换(standard normal variate transformation)。
预处理方法NfR2 cRMSECR2 cvRMSECVRPD数据中心化80.784 00.990.715 31.151.86数据中心化+数据平滑60.658 31.170.595 41.291.56数据中心化+标准化60.673 21.160.607 21.281.59数据中心化+基线校正60.745 31.120.677 31.271.75数据中心化+SNV60.631 91.210.566 91.331.51数据中心化+SNV+去趋势50.654 91.150.606 51.241.59数据中心化+一阶导数60.759 61.110.701 21.251.82
如表5所示,基于二倍频光谱数据所建模型的![]()
分别为0.855 7、0.805 9,RMSEC、RMSECV分别为0.87、1.02,RPD为2.26;该结果表明,对于切碎猪肉样品建立水分含量PLSR定量分析模型,基于二倍频光谱数据所建模型具有较好的相关性、精密度、准确度和预测性能。
表5 切碎猪肉样品LVFNIR光谱各波段PLSR模型结果
Table 5 Results of the PLSR models for minced pork samples based on the different bands of the LVFNIR spectra

波段NfR2 cRMSECR2 cvRMSECVRPD全谱70.787 91.100.732 81.251.93一倍频100.799 91.070.671 21.381.73二倍频90.855 70.870.805 91.022.26三倍频70.724 41.270.658 11.431.70一倍频+二倍频70.842 10.940.798 11.072.22一倍频+三倍频90.747 61.120.615 61.401.61二倍频+三倍频100.858 20.860.776 81.092.11
基于切碎猪肉样品LVFNIR光谱的二倍频波段进行预处理优化,如表6所示,当预处理方法为数据中心化+标准化时,优化模型的
分别为0.887 7、0.851 0,RMSEC、RMSECV分别为0.80、0.93,RPD为2.58,在各模型中,数据中心化+标准化预处理的效果最佳。
表6 切碎猪肉样品LVFNIR光谱二倍频PLSR模型预处理优化结果
Table 6 Results of preprocessing optimization of PLSR models for minced pork samples based on the 2nd overtone of the LVFNIR spectra

预处理方法NfR2 cRMSECR2 cvRMSECVRPD数据中心化90.855 70.870.805 91.022.26数据中心化+数据平滑70.753 81.220.680 61.401.76数据中心化+标准化80.887 70.800.851 00.932.58数据中心化+基线校正80.872 70.860.820 41.042.35数据中心化+SNV90.830 50.980.757 41.182.02数据中心化+SNV+去趋势80.817 70.980.758 61.142.03数据中心化+一阶导数70.840 70.950.802 51.072.23
根据SVR算法结合独立验证法建立猪肉水分含量非线性定量分析模型的方法,采用SPXY算法,将全部样品按约3∶1∶1划分为训练集、独立验证集和外部验证集。对全部样品、训练集、独立验证集和外部验证集分别两两进行F检验和t检验,结果表明,全部样品、训练集、独立验证集和外部验证集两两之间的数据方差、平均值均无显著差异,说明训练集、独立验证集和外部验证集数据均具有较好的代表性。
对建模样品剔除异常样本后进行波段优化,在波段优化的基础上进行数据预处理优化。猪肉样品的LVFNIR光谱波段划分与表2相同。
如表7所示,基于全谱数据所建模型的
分别为0.818 2、0.750 2,RMSEC、RMSECV分别为1.08、1.20,RPD为2.02,模型对应的惩罚系数(c)、核参数(γ)分别为89 000、0.008;该结果表明,对于整块猪肉样品建立水分含量SVR定量分析模型,基于全谱数据所建模型具有较好的相关性、精密度、准确度和预测性能。
表7 整块猪肉样品LVFNIR光谱各波段SVR模型结果
Table 7 Results of the SVR models for whole pieces of pork based on the different bands of the LVFNIR spectra

注:默认使用的数据处理方法为数据中心化+数据平滑。表8~10同。
预处理cγR2 cRMSECR2 vRMSEVRPD全谱89 0000.0080.818 21.080.750 21.202.02一倍频60 0000.0010.165 02.230.073 12.311.05二倍频78 0000.0170.601 81.590.427 81.801.35三倍频79 0000.0180.195 92.190.380 71.941.25一倍频+二倍频78 0000.0150.830 51.050.705 81.291.88一倍频+三倍频79 0000.0100.374 41.960.338 01.941.25二倍频+三倍频79 0000.0190.703 71.360.606 61.511.61
基于整块猪肉样品LVFNIR光谱的全谱SVR模型进行预处理优化,如表8所示,当预处理方法为数据中心化+数据平滑+一阶导数时,优化模型的R2c、R2 cv分别为0.781 2、0.787 5,RMSEC、RMSECV分别为1.13、1.11,RPD为2.19,模型对应的c、γ分别为157 000、0.190;在各模型中,数据中心化+数据平滑+一阶导数预处理的效果最佳。
表8 整块猪肉样品LVFNIR光谱全谱SVR模型预处理优化结果
Table 8 Results of preprocessing optimization of SVR models for whole pieces of pork based on the full band of the LVFNIR spectra

注:MSC.多元散射校正(multiple scattering correction)。
预处理cγR2 cRMSECR2 vRMSEVRPD数据中心化+数据平滑89 0000.0080.818 21.080.750 21.202.02数据中心化+数据平滑+一阶导数157 0000.1900.781 21.130.787 51.112.19数据中心化+数据平滑+MSC10 5000.1000.806 71.080.743 91.222.00数据中心化+数据平滑+SNV3 3000.0090.804 21.120.745 21.212.01数据中心化+数据平滑+SNV+去趋势3 4000.0090.800 91.120.748 51.202.02
如表9所示,基于全谱数据所建模型的R2c、R2v分别为0.763 5、0.798 5,RMSEC、RMSECV分别为1.08、1.19,RPD为2.03,模型对应的c、γ分别为9 800、0.057;该结果表明,对于切碎猪肉样品建立水分含量SVR定量分析模型,基于全谱数据所建模型具有较好的相关性、精密度、准确度和预测性能。
表9 切碎猪肉样品LVFNIR光谱各波段SVR模型结果
Table 9 Results of the SVR models for minced pork samples based on the different bands of the LVFNIR spectra

预处理cγR2 cRMSECR2 vRMSEVRPD全谱9 8000.0570.763 51.080.798 51.192.03一倍频8 5000.0270.185 82.010.265 82.121.14二倍频14 9000.0430.604 01.420.514 41.791.35三倍频19 9000.0990.396 91.730.423 71.961.23一倍频+二倍频19 9000.0270.748 41.110.767 01.291.86一倍频+三倍频17 8000.0050.261 0 1.910.304 82.061.17二倍频+三倍频19 9000.0210.652 61.340.597 41.691.42
基于切碎猪肉样品LVFNIR光谱的全谱SVR模型进行预处理优化,如表10所示,当预处理方法为数据中心化+数据平滑+SNV时,优化模型的R2c、R2 cv分别为0.778 7、0.871 4,RMSEC、RMSECV分别为1.04、0.89,RPD为2.69,模型对应的c、γ分别为14 400、0.020;在各模型中,数据中心化+数据平滑+SNV预处理的效果最佳。
表10 切碎猪肉样品LVFNIR光谱全谱SVR模型预处理优化结果
Table 10 Results of preprocessing optimization of SVR models for minced pork samples based on the full band of the LVFNIR spectra

预处理cγR2 cRMSECR2 vRMSEVRPD数据中心化+数据平滑9 8000.0570.763 51.080.798 51.192.03数据中心化+数据平滑+一阶导数35 5000.5800.791 41.010.808 31.182.04数据中心化+数据平滑+MSC129 7000.0850.795 31.010.866 50.902.67数据中心化+数据平滑+SNV14 4000.0200.778 71.040.871 40.892.69数据中心化+数据平滑+SNV+去趋势144 0000.0040.796 61.000.865 80.902.67
猪肉水分含量定量分析的优化模型汇总于表11。就模型预测性能而言,对于同种算法,切碎状态样品的模型优于整块状态样品;而在相同的样品状态下,SVR模型优于PLSR;使用SVR结合数据中心化+数据平滑+SVN预处理,所建模型的效果最佳,RPD达2.69,可以满足对猪肉水分含量快速检测的需求。
表11 猪肉水分含量定量分析模型汇总
Table 11 Summary of the quantitative models for the moisture content in pork

模型样品状态波段预处理R2 cRMSECR2 cvR2 vRMSECVRMSEVRPD PLSR整块二倍频数据中心化0.784 00.990.715 31.151.86 PLSR切碎二倍频数据中心化+标准化0.887 70.800.851 00.932.58 SVR整块全谱数据中心化+数据平滑+一阶导数0.781 21.130.787 51.112.19 SVR切碎全谱数据中心化+数据平滑+SNV0.778 71.040.871 40.892.69
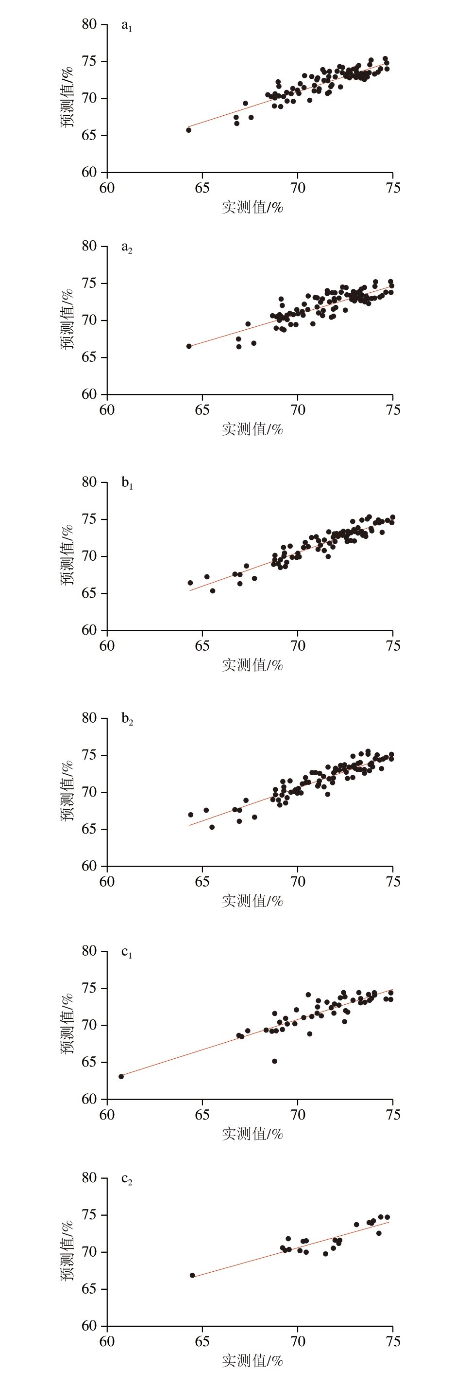
4 个基于LVFNIR光谱的猪肉水分含量优化模型的校正数据、验证数据的预测值-实测值相关性如图2所示。


图2 猪肉水分含量模型预测值-实测值相关性
Fig. 2 Correlation between the model-predicted and measured values of the moisture content in pork
a1.整块猪肉PLSR模型校正;a2.整块猪肉PLSR模型全交互验证;b1.切碎猪肉PLSR模型校正;b2.切碎猪肉PLSR模型全交互验证;c1.整块猪肉SVR模型校正;c2.整块猪肉SVR模型独立验证;d1.切碎猪肉SVR模型校正;d2.切碎猪肉SVR模型独立验证。
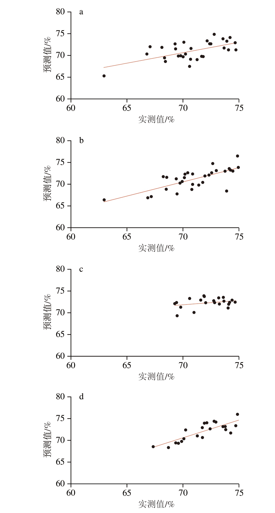
为对所建模型的预测性能做进一步验证,分别采用整块猪肉样品水分含量PLSR模型、切碎猪肉样品水分含量PLSR模型、整块猪肉样品水分含量SVR模型、切碎猪肉样品水分含量SVR模型预测对应的外部验证集,记录外部验证集的RMSEP、预测值-实测值回归方程和rp。如表12所示,对于外部验证集的预测,当算法相同时,切碎状态的外部验证集的rp更高、RMSEP更低;相同样品状态时,SVR模型的RMSEP更低,即此时SVR模型的预测误差更小;其中,切碎样品的SVR模型对相应外部验证集的预测具有最高的rp和最低的RMSEP,分别为0.821 0和1.24,而SVR模型对整块样品的外部验证集的预测结果并不好,这说明非线性算法依然有一定的局限性。综上所述,对外部验证集样品,采用SVR算法所建立的切碎样品水分含量模型对相应外部验证集的预测结果最佳。
表12 猪肉水分含量优化模型的外部验证结果
Table 12 Results of the external validation of the optimized models for the moisture content in pork

模型样品状态波段预处理RMSEP预测值-实测值回归方程rp PLSR整块二倍频数据中心化2.22y=0.462 8x+38.041 00.608 4 PLSR切碎二倍频数据中心化+标准化1.87y=0.640 6x+25.430 00.740 0 SVR整块全谱数据中心化+数据平滑+一阶导数1.69y=0.210 9x+56.967 00.331 1 SVR切碎全谱数据中心化+数据平滑+SNV1.24y=0.820 4x+12.731 00.821 0
4 个外部验证集的猪肉样品水分含量外部验证数据预测值-实测值相关性如图3所示。

图3 猪肉水分含量模型的外部验证数据预测值-实测值相关性
Fig. 3 Correlation between the predicted and measured values of the moisture content in pork in external validation sets
a.整块猪肉PLSR模型;b.切碎猪肉PLSR模型;c.整块猪肉SVR模型;d.切碎猪肉SVR模型。
在肉类水分含量的无损快速检测方面,很多学者进行了有意义的探索。Maduro Dias等[28]用400~2 500 nm波段的可见-近红外反射光谱预测汉堡中牛肉的水分、蛋白质和脂肪含量,结果表明,脂肪、粗蛋白、水分含量的
分别为0.93、0.89、0.72,交互验证标准差分别为1.25%、0.99%、2.18%。禹文杰等[29]基于可见-近红外高光谱成像技术对牛肉水分含量及分布进行快速检测,结果表明,采用卷积平滑对光谱数据进行预处理后所建牛肉水分含量PLSR模型预测效果较好,预测决定系数、RMSEP分别为0.850、0.375。Ramo等[30]采用数字图像、近红外光谱、数据融合和多元校准法建立鸡蛋粉中的水分、总蛋白和磷含量模型,结果表明,总蛋白模型的校正相关系数(correlation coefficient of calibration,rc)和RPD分别为0.995、9.55;基于台式近红外光谱仪的水分含量模型rc、RPD分别为0.974、4.35,基于台式近红外光谱仪的总磷含量模型rc、RPD分别为0.98、4.3。袁凯等[31]采用间隔偏最小二乘-区间变量迭代空间收缩-迭代保留信息变量算法筛选近红外光谱关键波长,建立生鲜鸡胸肉水分含量模型;结果表明,rp、RMSEP分别为0.943 5、0.6123。杨秀娟等[32]研究不同波长下测定的电压值与猪肉水分含量测定值之间的关系,并对不同波长下水分含量和电压值相关性进行显著性检验,结果表明,水分含量与电压值之间呈二次平方关系数学模型,在940 nm下所建模型最优,决定系数达0.928。Wang Jianxu等[33]基于近红外光谱技术对整块猪肉水分含量建立定量分析模型,经优化后,模型的测定系数达0.807 8。
从文献调研情况来看,目前鲜有对线性、非线性定量分析模型的比较研究。本研究结果表明,恰当地选择线性或非线性算法建立肉类水分含量的定量分析模型将有利于提高所建模型的预测性能。下一步应在建模样品中纳入更多品种的样品,并进一步优化模型,从而提高模型的预测性能和稳定性。本研究可为建立肉类水分含量LVFNIR光谱快速定量分析模型的算法选择和波段优选过程提供一定的参考,并可为其他肉类及肉制品的品质定量分析模型建立提供一定的借鉴。
采用便携式LVFNIR光谱仪分别采集整块、切碎2 种状态猪肉样品的LVFNIR光谱,分别采用线性(PLSR)、非线性(SVR)算法建立猪肉水分含量定量分析模型,并分别对整块猪肉PLSR模型、切碎猪肉PLSR模型、整块猪肉SVR模型、切碎猪肉SVR模型进行波段优化和数据预处理优化。结果表明:1)模型建立:对于相同的算法,切碎样品建模的结果优于整块样品;对于相同状态的样品,SVR模型优于PLSR;2)对外部验证集的预测:对于相同的算法,切碎样品的外部验证集rp更高、RMSEP更低;对于相同状态的样品,SVR模型具有更低的RMSEP。然而,SVR模型在预测整块样品外部验证集时效果并不理想,主要的原因是SVR模型属于非线性模型,模型本身复杂程度高,影响模型预测准确度的因素较多。这说明SVR模型在稳定性方面依然存在需要提升的空间。
[1] YANG L B, YUAN F, ZHOU M Y, et al. Insights into low-temperature strategies for preserving cooked pork quality in ready-to-eat meat products through processing and reheating studies[J]. Food Chemistry,2025, 487: 144696. DOI:10.1016/j.foodchem.2025.144696.
[2] YAO B, ZHANG D, WU X Y, et al. Exploring the impact of irradiation on the sensory quality of pork based on a metabolomics approach[J]. Food Chemistry: X, 2024, 22: 101460. DOI:10.1016/j.fochx.2024.101460.
[3] YU Q Q, LIU S, LIU Q Q, et al. Meat exudate metabolomics reveals the impact of freeze-thaw cycles on meat quality in pork loins[J]. Food Chemistry: X, 2024, 24: 101804. DOI:10.1016/j.fochx.2024.101804.
[4] PARK M K, KIM Y J, KIM J Y, et al. Effect of ice pack volume on quality properties of pork meat in a delivery box model[J]. Food Chemistry, 2025, 489: 145034. DOI:10.1016/j.foodchem.2025.145034.
[5] 杜明静, 唐成, 刘超峰, 等. 荷叶粉对猪肉糜脯风味的影响[J].食品科学, 2024, 45(15): 148-156. DOI:10.7506/spkx1002-6630-20231124-194.
[6] 徐静, 丁珊珊, 曹江伟, 等. 超声波清洗处理对猪肉品质的影响[J].食品科学, 2023, 44(19): 99-106. DOI:10.7506/spkx1002-6630-20230414-135.
[7] 周亚军, 张漫漫, 李宗坪, 等. 腌制方式对腌制过程中山黑猪肉肌原纤维蛋白特性及其叉烧肉食用品质的影响[J]. 食品科学, 2023,44(23): 86-94. DOI:10.7506/spkx1002-6630-20230728-297.
[8] 马凯华, 梁丽雅. 不同原料肉配比对风干肠理化特性及品质的影响[J]. 天津农学院学报, 2023, 30(2): 42-48. DOI:10.19640/j.cnki.jtau.2023.02.009.
[9] 辜雪冬, 肖静, 王卫, 等. 藏猪肉冷藏期间的品质变化规律研究[J]. 食品科技, 2019, 44(7): 135-139. DOI:10.13684/j.cnki.spkj.2019.07.021.
[10] 国家市场监督管理总局, 国家标准化管理委员会. 畜禽肉水分限量:GB 18394—2020[S]. 北京: 中国标准出版社, 2020.
[11] 中华人民共和国国家卫生和计划生育委员会. 食品安全国家标准食品中水分的测定: GB 5009.3—2016[S]. 北京: 中国标准出版社,2017.
[12] 王冬, 栾云霞, 王欣然, 等. 近红外光谱无损分析肉类品质的研究进展[J]. 肉类研究, 2024, 38(5): 61-70. DOI:10.7506/rlyj1001-8123-20240513-118.
[13] HOSSAIN M E, KABIR M A, ZHENG L H, et al. Near-infrared spectroscopy for analysing livestock diet quality: a systematic review[J]. Heliyon, 2024, 10(22): e40016. DOI:10.1016/j.heliyon.2024.e40016.
[14] QU J C, ZHANG C, GAO S C, et al. Integration of near-infrared spectroscopy and comparative principal component analysis for flour adulteration identification[J]. Agriculture Communications, 2025, 3(1):100073. DOI:10.1016/j.agrcom.2025.100073.
[15] KÖLLMANN N, VRINGER R, MISHRA P, et al. Near-infrared spectroscopy to quantify overall thermal process intensity during high-moisture extrusion of soy protein concentrate[J]. Food Research International, 2024, 186: 114320. DOI:10.1016/j.foodres.2024.114320.
[16] XIA S G, SONG J, MA C X, et al. Binding and distribution regularity of water molecules in high-moisture textured Antarctic krill (Euphausia superba) meat[J]. Food Chemistry, 2025, 462: 141028. DOI:10.1016/j.foodchem.2024.141028.
[17] SOULAT J, MONTEILS V, ANDUEZA D. The freezing duration and the number of freeze-thaw cycles influence the near infrared spectra of ageing beef muscles[J]. LWT-Food Science and Technology, 2024,214: 117147. DOI:10.1016/j.lwt.2024.117147.
[18] MATSUMOTO K, OKUMURA T, KOHIRA K, et al. Relationship among intramuscular fat, crude protein, and moisture in porcine longissimus thoracis muscle and their prediction by a handheld fiberoptic near-infrared spectrometer[J]. Journal of Food Composition and Analysis, 2024, 134: 106535. DOI:10.1016/j.jfca.2024.106535.
[19] MATSUMOTO K, OKUMURA T, IRIE M. Effectiveness of using portable fiber optic near-infrared spectrometer for fat quality evaluation in porcine carcass[J]. Microchemical Journal, 2025, 209:112747. DOI:10.1016/j.microc.2025.112747.
[20] QIN F L, WANG X C, DING S R, et al. Prediction of Peking duck intramuscle fat content by near-infrared spectroscopy[J]. Poulty Science, 2021, 100(8): 101281. DOI:10.1016/j.psj.2021.101281.
[21] KUCHA C T, LIU L, NGADI M, et al. Prediction and visualization of fat content in polythene-packed meat using near-infrared hyperspectral imaging and chemometrics[J]. Journal of Food Composition and Analysis, 2022, 111: 104633. DOI:10.1016/j.jfca.2022.104633.
[22] LEÓN-ECAY S, LÓPEZ-CAMPOS Ó, LÓPEZ-MAESTRESALAS A,et al. Using portable visible and near-infrared spectroscopy to authenticate beef from grass, barley, and corn-fed cattle[J].Food Research International, 2024, 198: 115327. DOI:10.1016/j.foodres.2024.115327.
[23] LIU Y C, XIANG Y, SUN W, et al. Identifying meat from grazing or feedlot yaks using visible and near-infrared spectroscopy with chemometrics[J]. Journal of Food Protection, 2024, 87(7): 100295.DOI:10.1016/j.jfp.2024.100295.
[24] BAI J, ZANG M W, SHI Y X, et al. Identification and quantification of adulteration in frozen-thawed meat of different breeds by NIR spectroscopy and chemometrics[J]. Journal of Food Composition and Analysis, 2024, 130: 106192. DOI:10.1016/j.jfca.2024.106192.
[25] 袁乙平, 李靖. 肉品中水分检测方法研究进展[J]. 肉类研究, 2022,36(3): 59-66. DOI:10.7506/rlyj1001-8123-20211115-229.
[26] 国家市场监督管理总局, 国家标准化管理委员会. 畜禽肉品质检测近红外法通则: GB/T 40467—2021[S]. 北京: 中国标准出版社, 2021.
[27] 国家市场监督管理总局, 国家标准化管理委员会. 畜禽肉品质检测水分、蛋白质、脂肪含量的测定 近红外法: GB/T 41366—2022[S].北京: 中国标准出版社, 2022.
[28] MADURO DIAS C S A M, NUNES H P, MELO T M M V, et al.Application of near infrared reflectance (NIR) spectroscopy to predict the moisture, protein, and fat content of beef for gourmet hamburger preparation[J]. Livestock Science, 2021, 254: 104772. DOI:10.1016/j.livsci.2021.104772.
[29] 禹文杰, 王彩霞, 乔芦, 等. 高光谱成像技术对牛肉水分含量及分布的快速检测[J]. 光电子·激光, 2020, 31(3): 326-333. DOI:10.16136/j.joel.2020.03.0351.
[30] RAMO L B, NOBREGA R O, FERNANDES D D S, et al.Determination of moisture and total protein and phosphorus contents in powdered chicken egg samples using digital images, NIR spectra, data fusion, and multivariate calibration[J]. Journal of Food Composition and Analysis, 2024, 127: 105940. DOI:10.1016/j.jfca.2023.105940.
[31] 袁凯, 张志勇, 席前, 等. 3 步混合变量选择策略在鸡肉近红外水分检测中的应用[J]. 食品与机械, 2020, 36(9): 72-76; 81.DOI:10.13652/j.issn.1003-5788.2020.09.012.
[32] 杨秀娟, 赵金燕, 赵家松, 等. 便携近红外检测仪测定鲜猪肉水分含量的研究[J]. 食品科技, 2012, 37(7): 267-270. DOI:10.13684/j.cnki.spkj.2012.07.019.
[33] WANG J X, FAN L F, WANG H H, et al. Determination of the moisture content of fresh meat using visible and near-infrared spatially resolved reflectance spectroscopy[J]. Biosystems Engineering, 2017,162: 40-56. DOI:10.1016/j.biosystemseng.2017.07.004.