Effect of Pan-Frying and Oven-Baking on Nutritional Value of Lipids in Snakehead (Ophiocephalus argus) Flesh
冯丽娜, 刘琼霞, 郭泳怡, 等. 煎烤烹饪对乌鳢肉脂肪营养价值的影响[J]. 肉类研究, 2026, 40(4): 41-46. DOI:10.7506/rlyj1001-8123-20250506-135. http://www.rlyj.net.cn
FENG Lina, LIU Qiongxia, GUO Yongyi, et al. Effect of pan-frying and oven-baking on nutritional value of lipids in snakehead (Ophiocephalus argus) flesh[J]. Meat Research, 2026, 40(4): 41-46. (in Chinese with English abstract)DOI:10.7506/rlyj1001-8123-20250506-135. http://www.rlyj.net.cn
鱼类作为高质量动物蛋白的重要来源,富含n-3多不饱和脂肪酸(polyunsaturated fatty acids,PUFA)[1]。n-3 PUFA,特别是二十碳五烯酸(eicosapentaenoic acid,EPA)和二十二碳六烯酸(docosahexaenoic acid,DHA),在生命各个阶段均发挥着关键作用,涵盖胎儿与婴儿视觉及神经发育、成人心血管疾病预防、癌症预防、神经发育及认知功能维持等[2]。流行病学研究证实,鱼类的高水平摄入有助于预防冠心病[3-4]。中国居民膳食指南(2022)指出,多摄入鱼肉可降低成年人全因死亡、脑卒中、痴呆及认知功能障碍的发生风险,推荐每周至少摄入鱼类2 次或300~500 g以保障营养需要。
在烹饪过程中,热加工的高温条件在杀灭病原微生物的同时也会通过引发物理与化学反应改变鱼肉脂肪酸组成,进而影响其营养价值。这种变化主要源于n-3 PUFA的热氧化降解和外源油脂的渗透[5],具体表现为n-6 PUFA/n-3 PUFA比值、EPA+DHA、动脉粥样硬化指数(atherogenic index,AI)和血栓形成指数(thrombogenic index,TI)等关键脂肪营养质量指标的显著波动[2,5-6]。
煎和烤作为鱼类烹饪的重要方式,虽在保持营养价值方面逊色于清蒸方式[5,7],但其在赋予鱼肉口感、风味和外观等方面更具优势。因此,探究煎和烤2 种烹饪方式对鱼肉营养的影响具有现实指导意义。植物油作为煎和烤的重要烹饪介质,会显著影响鱼肉的脂肪酸组成[5,8-9]。例如,葵花籽油或棕榈油煎制均可显著提高罗非鱼饱和脂肪酸(saturated fatty acids,SFA)和亚油酸含量[8]。玉米油煎制可显著降低鱼肉EPA+DHA和n-3 PUFA/n-6 PUFA比值[5]。然而,国内针对不同植物油烹饪鱼肉的系统性营养评价研究仍较为匮乏。
乌鳢(Ophiocephalus argus)又称黑鱼或乌鱼,是广泛分布于我国南北水域的特色淡水鱼养殖品种[10],凭借养殖周期短、肉质细嫩、营养丰富及加工适应性强等优势,在家庭烹饪与餐饮行业中应用广泛,同时也是预制菜领域的优选原料。本研究基于家庭烹饪场景,采用橄榄油与花生油分别对乌鳢肉片进行煎制和烤制处理,通过分析4 种加工方式(橄榄油烤制、花生油烤制、橄榄油煎制、花生油煎制)对其脂肪含量与组成的影响,探究鱼类烹饪方式对脂肪营养价值的影响,以期为消费者优化鱼类烹饪策略提供科学依据。
乌醴(平均质量(1 320.00±2.06)g、长度(47.60±2.07)cm) 市售;花生油、橄榄油 中粮集团有限公司。
脂肪酸甲酯标准品 美国Sigma公司;石油醚、无水乙醚等其他试剂均为国产分析纯。
SXT-02索式提取器 上海洪纪仪器设备有限公司;KDT-2C微量凯氏定氮仪 苏州天威仪器有限公司;SX2-8-13马弗炉 上海一恒科学仪器公司;GC-2010气相色谱仪 日本岛津公司;ZHD-B703电热恒温鼓风干燥箱 天津中环电炉有限公司;HH.S21-6S电热恒温水浴锅 北京长安科学仪器厂;FA124C分析天平 德国Sartorius公司;8010S组织捣碎机 上海思伯明仪器设备有限公司;PT3535W电烤箱 美的集团股份有限公司;W03CTJ平底锅 广东格兰仕家用电器制造有限公司。
1.3.1 样品处理
将乌鳢去鳞、去内脏、去骨、去皮,用洁净纱布擦去表面残留水分,将鱼背肉统一切割为4 cm×4 cm×2 cm的片状,混匀并分成5 等份,其中1 份生鱼肉作为对照(R),其余4 份分别采用橄榄油烤制(OB)、花生油烤制(PB)、橄榄油煎制(OF)、花生油煎制(PF)。具体操作条件如表1所示。各烹饪方式用油量均为每100 g鱼肉加10 g油。为避免干扰,烹调中不加任何调味品。每个实验设3 个平行。橄榄油和花生油的脂肪酸组成[11]如表2所示。
表1 乌鳢肉烹饪具体操作条件
Table 1 Operating conditions for cooking snakehead fish meat

烹调方式烹饪用具加热温度/℃每面鱼片加热时间/min OB烤箱20020 PB烤箱20020 OF平底锅和电磁炉1804 PF平底锅和电磁炉1804
表2 橄榄油和花生油脂肪酸组成[11]
Table 2 Fatty acid composition of olive oil and peanut oil[11] %

注:ND.未检出,表4同;MUFA.单不饱和脂肪酸(monounsaturated fatty acids);UFA.不饱和脂肪酸(unsaturated fatty acids)。
脂肪酸橄榄油花生油脂肪酸橄榄油花生油C14:00.010.05 C16:11.330.12 C15:0ND0.01 C17:10.18ND C16:013.5012.60 C18:172.7142.24 C17:00.060.11 C20:10.321.06 C18:04.465.14 C18:26.0731.37 C20:00.492.07 C18:30.720.11 C22:00.143.54 MUFA74.5443.42 C24:0ND1.57 PUFA6.7931.48 SFA18.6625.09 UFA81.3374.90
1.3.2 基础营养成分和脂肪酸含量测定
参照文献[12]测定基础营养成分(水分、蛋白质、粗脂肪和灰分)和脂肪酸含量。
1.3.3 脂质营养质量评价
通过n-6 PUFA/n-3 PUFA比值、EPA+DHA、PUFA/SFA比值、AI、TI和降胆固醇/升胆固醇(hypocholesterolemic/hypercholesterolemic,H/H)指数评价脂质营养质量。根据Ulbricht等[13]的方法,分别采用式(1)、(2)计算AI和TI;根据Santos-Silva等[14]的方法,采用式(3)计算H/H指数。

结果以平均值±标准差表示。利用SPSS Statistics 25.0软件对数据进行单因素方差分析和Duncan多重范围检验分析,P<0.05表示差异显著。采用OmicShare在线平台(http://www.omicshare.com/tools)和微生信在线平台(https://www.bioinformatics.com.cn)进行主成分分析(principal component analysis,PCA)和相关性分析。
乌鳢全鱼脂肪、蛋白质及灰分质量分数分别为(4.19±0.01)%、(13.36±0.13)%和(3.73±0.13)%,脂肪含量高于鲤鱼、鲈鱼、鳙鱼等淡水鱼[15]。由表3可知,乌鳢肌肉PUFA占总脂肪酸含量的36.03%,高于淡水养殖的鲤鱼、海水养殖的鲈鱼及鮸鱼、大黄鱼、带鱼等野生海水鱼,接近鲟鱼[7,15-16]。乌鳢肌肉DHA质量分数(9.00%)高于鲤鱼和鮸鱼,与海水养殖的银鲳和带鱼接近;EPA质量分数(1.32%)高于鲤鱼、鲈鱼、鮸鱼、大黄鱼和带鱼[15-16]。综上,乌鳢可作为EPA和DHA的优质食物来源。
表3 乌鳢肉与其他7 种鱼肉PUFA、DHA和EPA质量分数对比
Table 3 Comparison of PUFA, DHA and EPA contents in the flesh of snakehead fish and seven other fish species %

品种PUFADHAEPA乌鳢36.03±0.859.00±0.431.32±0.02鲤鱼(Cyprinus carpio)[15]25.96±1.681.35±0.170.51±0.06鮸鱼(Miichthys miiuy)[16]7.71±0.013.29±0.070.07±0.02鲈鱼(Lateolabrax japonicus)[15]16.41±3.4112.75±1.350.56±0.07大黄鱼(Pseudosciaena crocea)[15]17.65±0.0813.75±0.020.60±0.02带鱼(Trichiurus haumela)[15]15.31±0.3712.54±0.270.72±0.03银鲳(Stromateoides argenteus)[15]15.90±0.3911.78±0.171.36±0.05杂交鲟鱼(Acipenser baerii×Acipenser schrenckii)[7]36.07±0.137.95±0.025.91±0.02
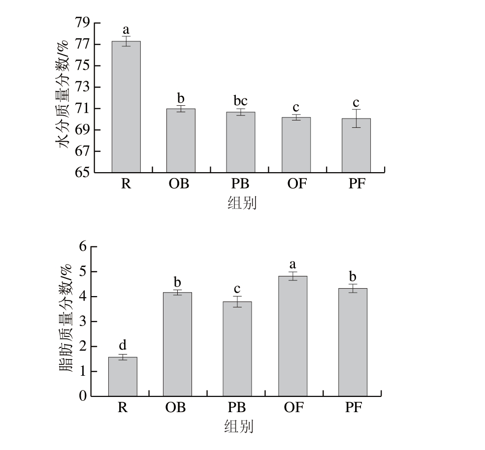
由图1可知,与生鱼肉相比,4 种烹饪方式均导致鱼肉脂肪含量显著上升,水分含量显著下降(P<0.05),这可能主要归因于热加工过程中高温导致肌肉组织收缩和水分蒸发以及鱼肉吸收了部分烹饪介质(橄榄油或花生油)[17]。值得注意的是,在使用同一烹饪介质条件下,煎制处理对脂肪含量的提升幅度显著高于烤制(P<0.05),这可能与煎制过程中油温更高、鱼肉与油脂接触面积更大等因素有关。这一结果与鲢鱼烹饪研究结果[17]相一致。

图1 烹饪前后乌鳢肉水分和脂肪含量变化
Fig. 1 Changes in the moisture and fat content of snakehead fish flesh before and after cooking
本研究从R组共检出25 种脂肪酸,其中SFA、MUFA、PUFA分别检出10、6、9 种。经橄榄油烤制、花生油烤制、橄榄油煎制、花生油煎制后,分别检出25、24、26、26 种脂肪酸。其中,各组SFA分别为9、9、10、10 种,MUFA分别为6、5、6、6 种,PUFA均为10 种。因此,煎制和烤制对鱼肉脂肪酸种类的影响相对较小。
如表4所示,煎制和烤制能够明显改变乌鳢肉样品的SFA∶MUFA∶PUFA,导致SFA和PUFA比例降低、MUFA比例升高。在生鱼肉样品中,PUFA占主导地位,而煎制或烤制后以MUFA占主导地位。这种差异可能与烹饪过程中油脂向鱼肉的扩散有关。本研究所用的烹饪介质(橄榄油和花生油)均属于高MUFA类食用油[11],两者MUFA相对含量分别为74.54%和43.42%(表2),这与观察结果一致。类似的现象亦见于奇努克鲑鱼(Oncorhynchus tshawytscha)、鲤鱼(C. carpio)、白吸盘鱼(Catostomus commercesonii)、湖鳟(Salvelinus namaycush)和大眼狮鲈(Sander vitreus)4 种淡水鱼的烹饪研究[9],以及金边鲷(Sparus aurata)和细颈鲷(Argyrosomus regius)[18]的煎炸研究中。
表4 烹饪处理前后乌鳢肉脂肪酸组成及相对含量
Table 4 Fatty acid profiles and relative content in raw and cooked snakehead fish flesh %

注:TFA.反式脂肪酸(trans fatty acids);同列小写字母不同表示差异显著(P<0.05),表5同。
组别SFAMUFAPUFASFA∶MUFA∶PUFAn-3 PUFAn-6 PUFATFA R31.84±0.45a32.20±1.46e36.03±0.85a0.99∶1.00∶1.2112.63±0.60a22.55±0.88bND OB28.96±1.14b42.29±2.81b29.02±1.21b0.69∶1.00∶0.696.78±0.20b21.43±1.65bND PB29.02±1.51b36.83±0.79d34.32±0.60a0.79∶1.00∶0.945.97±0.47bc27.63±0.26aND OF22.00±0.96d58.80±0.59a19.12±0.28c0.37∶1.00∶0.335.35±0.67c13.34±1.11cND PF25.81±0.36c39.04±1.77c35.42±1.34a0.67∶1.00∶0.905.73±0.48c29.23±1.41aND
如图2所示,乌鳢肉烹饪前后优势脂肪酸种类保持稳定:烹饪前后相对含量最高的SFA均为棕榈酸(C16:0),相对含量最高的MUFA为油酸(C18:1n9c),相对含量最高的n-6 PUFA为亚油酸(C18:2n6c),相对含量最高的n-3 PUFA为DHA(C22:6n3)和EPA(C20:5n3)。虽然煎制和烤制处理未改变各脂肪类别的优势组分,但优势脂肪酸含量均发生明显变化。经4 种烹饪方式处理后,乌鳢肉SFA中的C16:0相对含量显著降低,MUFA中的C18:1n9c相对含量显著升高(P<0.05),这可能源于鱼肉和食用油之间发生了脂肪酸交换[19]。同时,烹饪后乌鳢肉n-3 PUFA中的EPA和DHA相对含量均显著降低(P<0.05)。由于烹饪油中基本不含EPA和DHA,这2 种脂肪酸的变化主要来源于鱼肉自身脂肪的降解。PUFA的氧化稳定性与其不饱和程度呈显著负相关,其中,含有5~6 个非共轭双键的EPA和DHA是氧化敏感性最高的PUFA,这一特性在高温烹饪(如煎炸、烧烤)条件下表现尤为显著[5,19]。此外,烹饪后样品亚油酸含量的变化因烹饪方式不同而呈现差异,这可能是食用油脂肪酸组成差异与热氧化降解共同作用所致。


图2 烹饪处理前后乌鳢肉脂肪酸组成
Fig. 2 Fatty acids profiles in raw and cooked snakehead fish flesh
2.4.1 烹饪方式对n-6 PUFA/n-3 PUFA和PUFA/SFA比值的影响
n-6 PUFA/n-3 PUFA比值是评价食品脂肪营养质量的重要指标之一,维持较低的n-6 PUFA/n-3 PUFA比值可能有助于预防动脉粥样硬化和心血管疾病[20]。由表5可知,经4 种烹饪方式处理后,乌鳢肉样品的n-6 PUFA/n-3 PUFA比值均显著升高(P<0.05)。这可能是因为加热促进油脂氧化导致n-6与n-3 PUFA含量降低,而n-3 PUFA氧化速率远高于n-6 PUFA,随着烹饪温度的升高和烹饪时间的延长,n-6 PUFA/n-3 PUFA比值随之升高[21]。值得注意的是,虽然煎制和烤制使n-6 PUFA/n-3 PUFA比值升高,但4 种烹饪处理鱼肉n-6 PUFA/n-3 PUFA比值(2.54~5.11)仍符合中国营养学会推荐的n-6 PUFA/n-3 PUFA比值健康范围(4∶1~6∶1)[22]及世界卫生组织建议的n-6 PUFA/n-3 PUFA理想值(5∶1~8∶1)[23],表明煎制和烤制后鱼肉仍保持其营养特性。
表5 烹饪处理前后乌鳢肉脂肪营养质量指标
Table 5 Nutritional quality indicators of lipids in raw and cooked snakehead fish flesh %

组别n-6 PUFA/n-3 PUFAPUFA/SFAAITIH/H指数EPA+DHA R1.79±0.10d1.13±0.02c0.43±0.01a0.47±0.01d2.50±0.09c10.32±0.44a OB3.16±0.28b1.00±0.09b0.36±0.02b0.52±0.02cd3.02±0.21b4.95±0.24b PB4.65±0.34a1.19±0.09c0.34±0.30b0.54±0.05c3.12±0.14c4.34±0.33bc OF2.54±0.54c0.87±0.05d0.24±0.01d0.40±0.01a4.52±0.26d4.06±0.67c PF5.11±0.29a1.37±0.09a0.26±0.01c0.43±0.02b4.11±0.26cd4.52±0.31bc
PUFA/SFA比值是评估冠心病风险和脂肪营养质量的重要指标。SFA摄入过多会增加低密度脂蛋白胆固醇水平,进而增加冠心病风险。根据健康和社会保障标准,摄入脂肪PUFA/SFA比值应大于0.45,以降低冠心病风险[5]。由表5可知,经4 种烹饪方式处理后,乌鳢肉样品的PUFA/SFA比值为0.87~1.37,提示煎制和烤制鱼肉对健康具有潜在益处。
2.4.2 烹饪方式对AI、TI和H/H指数的影响
AI、TI是评价食品油脂营养质量的常用指标。较低的AI和TI表明食品具有更强的预防动脉粥样硬化和血栓形成的潜力[5]。由表5可知,虽然烹饪处理导致AI和TI发生显著变化(P<0.05),但烹饪后乌鳢肉样品的AI仍在0.24~0.36范围内(生鱼肉AI=0.43),TI在0.40~0.54范围内(生鱼肉TI=0.47)。AI和TI建议值<1[13,23],而煎制和烤制后样品的AI和TI仍低于1,此结果与在多项烹饪鱼脂肪营养研究结果类似[5],提示煎制和烤制鱼肉仍保持预防冠心病发生潜力。进一步分析发现,烤制和煎制方式均能够显著降低鱼肉脂肪AI,这与贝类和鱼类研究结果一致[5]。这种变化可能源于2 个机制:其一,热处理促进了具有动脉粥样硬化效应的SFA(如C12:0、C14:0和C16:0)的水解,同时增加了MUFA的相对含量[20,24-25];其二,烹饪介质的脂肪酸组成直接影响样品脂肪的AI。例如,采用饱和度高的烹饪介质(如人造黄油)会显著提高油炸鱼脂肪的AI,而低饱和度的油脂(如花生油)则能显著降低油炸鱼脂肪的AI[25]。本研究采用饱和度较低的橄榄油和花生油作为烹饪介质,可能是乌鳢肉脂肪AI降低的重要原因。
H/H指数是评估脂肪酸对胆固醇代谢影响的重要指标之一,较高的H/H指数对心血管健康更为有益。由表5可知,煎制和烤制方式均能显著提高鱼肉H/H指数(P<0.05),提示煎制和烤制鱼肉可能有助于降低心血管疾病发生风险。这一结果与Tan等[5]的研究结论一致,即煎炸、烤箱烤制和炖煮等烹饪方式均可改善鱼肉的H/H指数,从而产生心血管保护作用。
2.4.3 营养质量指标的PCA和相关性分析
为综合评价脂肪营养质量,本研究对n-6 PUFA/n-3 PUFA比值、EPA+DHA、AI、TI、H/H指数、PUFA/SFA比值6 项指标进行PCA[5,26]。PC累计方差贡献率越大,表明PCA对脂肪营养质量指标数据的解释能力越强。如图3A所示,PC1方差贡献率为52.98%,PC2方差贡献率为28.57%,两者累计方差贡献率为81.55%,说明PC1与PC2能够有效反映不同烹饪方式对脂肪营养质量的影响。其中,R组与OB组、PB组的距离均小于与OF组、PF组的距离;R组与OB组的距离小于与其他3 组的距离。PCA结果表明:1)煎制和烤制显著改变了乌鳢肉的脂肪营养质量指标;2)烤制对脂肪营养质量的影响小于煎制;3)橄榄油烤制对脂肪营养质量影响最小。


图3 烹饪处理前后乌鳢肉脂肪质量指标的PCA得分图(A)和相关性分析(B)
Fig. 3 PCA score plot (A) and correlation analysis (B) of lipid quality indexes in raw and cooked snakehead fish flesh
*.显著相关(P<0.05);**.极显著相关(P<0.01)。
如图3B所示,SFA与EPA+DHA、AI、TI均呈极显著正相关(P<0.01),与H/H指数呈极显著负相关(P<0.01)。MUFA与H/H指数呈极显著正相关(P<0.01),与AI、PUFA/SFA比值、TI呈显著负相关(P<0.01、P<0.05)。PUFA与n-6 PUFA、PUFA/SFA比值、AI呈显著正相关(P<0.01、P<0.05),与H/H指数呈显著负相关(P<0.05)。n-6 PUFA与n-6 PUFA/n-3 PUFA比值、PUFA/SFA比值均呈极显著正相关(P<0.01)。n-3 PUFA与AI、EPA+DHA均呈极显著正相关(P<0.01),与n-6 PUFA/n-3 PUFA比值、H/H指数呈极显著负相关(P<0.01)。相关性结果揭示了SFA、PUFA、MUFA、n-6 PUFA和n-3 PUFA对6 种脂质营养指标的明确影响,其中SFA与MUFA对脂质营养指标影响呈现对立性,降低SFA、升高MUFA更有利于降低心血管疾病风险。
我国家庭普遍存在将植物油加热至冒烟的烹饪习惯,尤其在煎制和烤制过程中。当加热超过植物油烟点后,随着温度的升高和加热时间的延长,UFA的顺式双键会逐渐异构化为反式双键,导致TFA含量显著增加[27]。流行病学研究证实,膳食中过量摄入TFA是诱发心血管疾病、癌症和糖尿病的重要危险因素[27]。然而,目前关于鱼肉烹饪方式与TFA生成关系的研究报道甚少。
由表4可知,煎制温度180 ℃、烤制温度200 ℃条件下,鱼肉中均未检出TFA(C18:1 n9t和C18:2 n6t相对含量均为0%),表明上述温度范围内植物油和鱼肉中的顺式脂肪酸几乎未异构化为TFA。以上2 个温度均低于或接近植物油烟点(花生油烟点180 ℃,橄榄油烟点190~240 ℃)[28-29],提示通过控制煎制或烤制温度可有效避免TFA的大量产生。这一结果与杨志才等[30]的研究结果一致,该研究对橄榄油、玉米油、菜籽油和大豆油的高温模拟烹饪实验显示,在烟点及以下(180 ℃和220 ℃)时,TFA含量基本保持稳定,而超过烟点(260 ℃)后TFA含量明显增加[30]。
本研究对4 种烹饪处理前后乌鳢肉的脂肪酸组成进行检测和分析。结果表明,煎制和烤制处理后乌鳢肉样品的总脂肪含量均显著增加,MUFA取代PUFA成为主要脂肪酸类型,同时n-3 PUFA和EPA+DHA相对含量显著降低,n-6 PUFA/n-3 PUFA比值显著升高(P<0.05)。综合分析多项脂肪营养质量指标发现,虽然煎制和烤制对乌鳢肉的脂肪酸组成均产生了一定负面影响,但处理后的鱼肉仍保持预防冠心病、改善健康的潜力;其中,烤制对油脂营养质量指数的负面影响小于煎制,可能更有利于降低冠心病发病风险;在4 种烹饪处理方式中,橄榄油烤制对脂肪营养质量影响最小,提示用橄榄油烤鱼可能是更健康的选择。此外,在加热温度低于或接近植物油烟点的条件下,鱼肉中未检出TFA,提示合理控制烹饪温度可有效避免煎制或烤制鱼肉中TFA的生成。
[1] TAN K, ZHANG H K, LI S K, et al. Lipid nutritional quality of marine and freshwater bivalves and their aquaculture potential[J]. Critical Reviews in Food Science and Nutrition, 2022, 62(25): 6990-7014.DOI:10.1080/10408398.2021.1909531.
[2] TAN K, LIM L, PENG Y, et al. Effects of food processing on the lipid nutritional quality of commercially important fish and shellfish[J]. Food Chemistry: X, 2023, 20: 101034. DOI:10.1016/j.fochx.2023.101034.
[3] ZHENG J S, HUANG T, YU Y H, et al. Fish consumption and CHD mortality: an updated meta-analysis of seventeen cohort studies[J].Public Health Nutrition, 2012, 15(4): 725-737. DOI:10.1017/s1368980011002254.
[4] ZHANG B, XIONG K, CAI J, et al. Fish consumption and coronary heart disease: a meta-analysis[J]. Nutrients, 2020, 12(8): 2278.DOI:10.3390/nu12082278.
[5] TAN K, HUANG L H, TAN K, et al. Effects of culinary treatments on the lipid nutritional quality of fish and shellfish[J]. Food Chemistry: X,2023, 19: 100856. DOI:10.1016/j.fochx.2023.100856.
[6] SARDENNE F, PUCCINELLI E, VAGNER M, et al. Post-mortem storage conditions and cooking methods affect long-chain ω-3 fatty acid content in Atlantic mackerel (Scomber scombrus)[J]. Food Chemistry, 2021, 359: 129828. DOI:10.1016/j.foodchem.2021.129828.
[7] 兰晓芳, 阮光锋, 范志红, 等. 家庭烹调对鲟鱼中脂肪酸和胆固醇的影响[J]. 食品科学, 2016, 37(7): 16-22. DOI:10.7506/spkx1002-6630-201607004.
[8] RAMEZANI-FARD E, ROMANO N, GOH Y M, et al. The effect of different cooking methods on fatty acid composition and antioxidant activity of n-3 fatty acids fortified tilapia meat with or without clove essential oil[J]. Journal of Environmental Biology, 2016, 37(4 spec no): 775-784.
[9] NEFF M R, BHAVSAR S P, BRAEKEVELT E, et al. Effects of different cooking methods on fatty acid profiles in four freshwater fishes from the Laurentian Great Lakes region[J]. Food Chemistry,2014, 164: 544-550. DOI:10.1016/j.foodchem.2014.04.104.
[10] 陈胜军, 路美明, 相欢, 等. 乌鳢营养评价与加工保鲜技术研究进展[J]. 肉类研究, 2023, 37(2): 40-45. DOI:10.7506/rlyj1001-8123-20221017-141.
[11] 刘颖, 刘晓谦, 梁曜华, 等. 11 种植物油的脂肪酸组成与抗氧化活性比较[J]. 中国油脂, 2020, 45(10): 52-56; 61. DOI:10.12166/j.zgyz.1003-7969/2020.10.010.
[12] 杜治泳, 申晓静, 张浩, 等. 槟榔江水牛和德宏水牛肉质性状与营养成分分析[J]. 肉类研究, 2025, 39(1): 9-17. DOI:10.7506/rlyj1001-8123-20240822-217.
[13] ULBRICHT T L V, SOUTHGATE D A T. Coronary heart disease:seven dietary factors[J]. The Lancet, 1991, 338(8773): 985-992.DOI:10.1016/0140-6736(91)91846-M.
[14] SANTOS-SILVA J, BESSA R J B, SANTOS-SILVA F. Effect of genotype, feeding system and slaughter weight on the quality of light lambs[J]. Livestock Production Science, 2002, 77(2/3): 187-194.DOI:10.1016/S0301-6226(02)00059-3.
[15] 许星鸿, 刘翔. 8 种经济鱼类肌肉营养组成比较研究[J]. 食品科学,2013, 34(21): 75-82. DOI:10.7506/spkx1002-6630-201321016.
[16] 孙素玲, 李雪, 顾小红, 等. 鮸鱼肌肉和副产物营养组成分析及评价[J]. 食品与机械, 2020, 36(7): 45-49. DOI:10.13652/j.issn.1003-5788.2020.07.009.
[17] ZHANG Y, ZHANG P C, PENG H C, et al. Effects of cooking processes on protein nutritional values and volatile flavor substances of silver carp (Hypophthalmichthys molitrix)[J]. Foods, 2023, 12(17):3169. DOI:10.3390/foods12173169.
[18] ALEXI N, KOGIANNOU D, OIKONOMOPOULOU I, et al.Culinary preparation effects on lipid and sensory quality of farmed gilthead seabream (Sparus aurata) and meagre (Argyrosomus regius):an inter-species comparison[J]. Food Chemistry, 2019, 301: 125263.DOI:10.1016/j.foodchem.2019.125263.
[19] BIANDOLINO F, PARLAPIANO I, DENTI G, et al. Effect of different cooking methods on lipid content and fatty acid profiles of Mytilus galloprovincialis[J]. Foods, 2021, 10(2): 416. DOI:10.3390/foods10020416.
[20] PRATO E, FANELLI G, PARLAPIANO I, et al. Bioactive fatty acids in seafood from Ionian Sea and relation to dietary recommendations[J].International Journal of Food Sciences and Nutrition, 2020, 71(6):693-705. DOI:10.1080/09637486.2020.1719388.
[21] 曹君. 不同脂肪酸结构食用油的氧化规律及其动力学研究[D].南昌: 南昌大学, 2015.
[22] 王胜男, 张娜宁, 杨皓瑜, 等. 营养平衡调和油的配制及营养成分的测定[J]. 中国油脂, 2024, 49(3): 62-65; 81. DOI:10.19902/j.cnki.zgyz.1003-7969.220424.
[23] MERDZHANOVA A, PANAYOTOVA V, DOBREVA D A, et al. Can fish and shellfish species from the black sea supply health beneficial amounts of bioactive fatty acids?[J]. Biomolecules, 2021, 11(11):1661. DOI:10.3390/biom11111661.
[24] MARICHAMY G, VEERASINGAM S, RAJAGOPAL S, et al. Fatty acid composition of Indian mackerel Rastrelliger kanagurta under different cooking methods[J]. Current Research Journal of Biological Sciences, 2009, 1(3): 109-112.
[25] DE BRITO B M, LIRA G M, PINHEIRO A G A, et al. Effect of cooking with interesterified margarine in the chemical composition of fish[J]. Food Science and Technology, 2019, 39(Suppl 2): 640-645.DOI:10.1590/fst.29618.
[26] GIANDOMENICO S, NIGRO M, PARLAPIANO I, et al. Effect of in-house cooking in Mytilus galloprovincialis and Trachurus trachurus: lipid and fatty acids quality and polycyclic aromatic hydrocarbons formation[J]. Food and Chemical Toxicology, 2023, 173:113606. DOI:10.1016/j.fct.2023.113606.
[27] ISLAM M A, AMIN M N, SIDDIQUI S A, et al. Trans fatty acids and lipid profile: a serious risk factor to cardiovascular disease, cancer and diabetes[J]. Diabetes & Metabolic Syndrome: Clinical Research &Reviews, 2019, 13(2): 1643-1647. DOI:10.1016/j.dsx.2019.03.033.
[28] 王琳, 林小妹, 胡玉玲, 等. 加热时间对花生油和玉米油理化性质的影响[J]. 山东化工, 2017, 46(20): 123; 126. DOI:10.19319/j.cnki.issn.1008-021x.2017.20.052.
[29] 李伟强. 橄榄油在烹饪中的合理应用研究[J]. 绿色科技, 2014,16(11): 234-235.
[30] 杨志才, 王玲玲, 张居舟. 高温模拟烹饪试验中食用植物油反式脂肪酸的含量变化[J]. 上海预防医学, 2023, 35(6): 524-528.DOI:10.19428/j.cnki.sjpm.2023.22954.