发酵剂中凝固酶阴性葡萄球菌菌种多样性对发酵香肠感官特性的影响

宋富彤1,李儒仁1,*,田雅琴2,张 迪1,姚亚芳1,张 楠1,李文倩1,荣良燕1,*

(1.陕西科技大学食品科学与工程学院,陕西 西安 710021;2.渤海大学食品科学与工程学院,辽宁 锦州 121013)

摘 要:为探讨凝固酶阴性葡萄球菌(coagulase-negative staphylococci,CNS)菌种异质性和多样性对发酵香肠风味特征和理化性质的影响,将马胃葡萄球菌(Staphylococcus equorum)EH-4和木糖葡萄球菌(Staphylococcus xylosus)TS-1分别与戊糖片球菌(Pediococcus pentosaceus)TP-1组合接种(TPEH组:S.equorum EH-4+P.pentosaceus TP-1;TPTS组:S.xylosus TS-1+P.pentosaceus TP-1),以及三者联合接种(TEH-4组:S.equorum EH-4+S.xylosus TS-1+P.pentosaceus TP-1)制备发酵香肠。结果表明,与未接种发酵剂的对照组相比,接种组发酵香肠水分活度、水分含量和pH值有所降低,红度值有所增加。在挥发性风味物质方面,TPTS组酯类物质含量明显增加,酸类物质含量相对较低;TPEH组则产生较多的酸类物质,导致酸味评分(7.75)偏高。相比之下,TEH-4组在酸类组分上表现更为平衡,同时提升了酯类(辛酸乙酯、辛酸甲酯)、醇类(1-辛烯-3-醇、2,3-丁二醇)和酮类(2-壬酮、3-羟基-2-丁酮)等关键风味物质的含量,从而使其果香(7.58)、奶香(7.86)和甜香(7.63)评分均达到较高水平。综上所述,发酵剂中CNS菌种多样性的增加有助于促进发酵香肠特征风味物质的生成,进而提升其感官品质。

关键词:凝固酶阴性葡萄球菌;菌种异质性;菌种多样性;挥发性化合物;感官特性

发酵香肠因其独特的风味和优良的感官品质,被视为传统发酵肉制品的代表性产品之一[1-3]。在工业化生产中,发酵剂的应用已成为保障产品品质一致性与安全性的关键手段。常规发酵剂通常由乳酸菌(lactic acid bacteria,LAB)与凝固酶阴性葡萄球菌(coagulasenegative staphylococci,CNS)构成,其中LAB主要发挥酸化与抑菌作用;CNS则在色泽形成、风味改善方面具有重要功能[4-6],其通过氨基酸与脂类代谢合成酯类、酸类及醇类等多种挥发性风味化合物,赋予发酵香肠花香味、果香味、奶香味等[7-8]

值得注意的是,由戊糖片球菌(P e d i o c o c c u s pentosaceus)与木糖葡萄球菌(Staphylococcus xylosus)构成的商业发酵剂THM-17虽被广泛应用于发酵肉制品的生产,但已有研究[9-11]指出,其所制备的香肠在果香和花香方面表现相对不足,这可能源于该组合中菌种之间风味协同作用的局限性。为进一步提升发酵香肠的风味品质,有研究[10]构建了由清酒乳杆菌(Lactobacillus sake)、嗜热链球菌(Streptococcus thermophilus)、马胃葡萄球菌(Staphylococcus equorum)和S.xylosus组成的复合发酵剂,并观察到其在提升清新味与甜香味方面具有积极作用。然而,亦有研究表明,不同本地CNS与LAB组合制备的发酵香肠在挥发性风味物质轮廓上并无显著差异[12],提示风味结果可能受到CNS菌种异质性、接种策略和发酵条件等因素的影响[13-14]。尽管已有研究关注特定CNS菌种的风味贡献,但多集中于单一菌种或有限组合。例如,与S.xylosus和腐生葡萄球菌(Staphylococcus saprophyticus)相比,S.equorum能产生更多的2-甲基丙酸[15];而在营养丰富的条件下,S.xylosus则显著提高了3-甲基丁醇的生成量[16]。这些菌种在风味代谢能力上的差异表明,它们在联合使用时可能具有互补潜力,从而产生协同效应。然而,仍缺乏关于其对发酵香肠风味整体影响的系统研究。因此,进一步优化CNS菌种间的组合,以增强其在发酵剂中的协同效应,有望为提升发酵香肠感官品质提供新的策略。

本研究以S.equorum EH-4和S.xylosus TS-1为代表性CNS菌种,分别或联合与P.pentosaceus TP-1复配,构建多种发酵剂组合,系统评估其对发酵香肠挥发性风味化合物、理化性质及感官品质的影响。旨在揭示CNS菌种的种间异质性及其多样性对发酵香肠感官特性的影响,为发酵剂中CNS菌种组合优化提供理论依据与实践参考。

1 材料与方法

1.1 材料与试剂

猪后腿、猪背膘、食用盐 市购;葡萄糖、D-异抗坏血酸钠(均为食品级) 河南万邦实业有限公司;香辛料 上海味好美食品有限公司;胶原蛋白肠衣 北京福得客科技有限公司;MRS肉汤、营养肉汤(nutrient broth,NB)、MRS琼脂、平板计数琼脂、甘露醇氯化钠琼脂(mannitol salt agar,MSA)培养基 上海广锐生物科技有限公司。

P.pentosaceus TP-1、S.equorum EH-4、S.xylosus TS-1为实验室前期自行分离并保藏。

1.2 仪器与设备

KBF 240恒温恒湿箱 德国Binder公司;9120APWP穿刺式pH计 美国奥立龙公司;CR-400色差计 柯尼卡美能达光学仪器有限公司;TMS-PRO质构仪 北京盈盛恒泰科技有限责任公司;GCMS-TQ8040NX三重四极杆气相色谱-质谱联用仪 日本岛津公司。

1.3 方法

1.3.1 发酵剂的制备

P.pentosaceus TP-1接种于MRS肉汤培养基中,将S.xylosus TS-1和S.equorum EH-4分别接种于NB培养基中。在37 ℃、180 r/min条件下培养24 h。按1%接种量转种至相应培养基中,继续培养至对数期末。随后,菌液经4 ℃、6 000×g离心10 min,弃去上清液,加入无菌生理盐水重悬稀释,测定600 nm波长处的光密度(OD600 nm)。

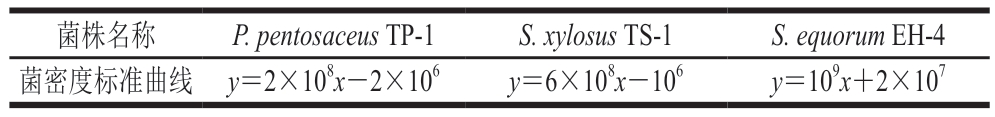
菌密度标准曲线的绘制:将离心后的菌体进行梯度稀释,使用10 倍稀释法依次得到浓度为109、108、107、106、105 CFU/mL的系列稀释液,测定不同稀释液的OD600 nm并进行平板计数。以OD600 nm为横坐标,菌落数(CFU/mL)为纵坐标,绘制菌密度标准曲线(表1)。

表1 菌密度标准曲线
Table 1 Calibration equation for the determination of bacterial density

菌株名称P.pentosaceus TP-1S.xylosus TS-1S.equorum EH-4菌密度标准曲线 y=2×108x-2×106y=6×108x-106y=109x+2×107

1.3.2 发酵香肠的制作

将猪瘦肉与猪背膘按4∶1的质量比绞碎后,加入以下辅料:葡萄糖1.5%、食盐3%,香辛料0.3%,D-异抗坏血酸钠0.07%(均为质量分数)。将肉馅拌匀后分成4 批,具体分组如表2所示。将肉馅灌入肠衣中,在18~30 ℃、相对湿度80%~95%的条件下发酵48 h;10~18 ℃、相对湿度70%~80%条件下成熟45 d。所有样品在成熟后进行分析。

表2 发酵香肠分组
Table 2 Staters for fermented sausages

组别发酵剂添加量/(CFU/g)[17-18]对照组CK不添加发酵剂TPTSP.pentosaceus TP-1106 S.xylosus TS-1107 TPEHP.pentosaceus TP-1106处理组S.equorum EH-4107 TEH-4 P.pentosaceus TP-1106 S.xylosus TS-1107 S.equorum EH-4107

1.3.3 pH值、水分含量、水分活度(water activity,aw)、色泽和质构特性测定

使用穿刺式pH计垂直插入香肠中测定其pH值。参照GB 5009.3—2016《食品安全国家标准 食品中水分的测定》中的方法,在105 ℃条件下测定样品的水分含量。参照GB 5009.238—2016《食品安全国家标准 食品水分活度的测定》中的方法测定不同样品的aw。参考范鑫洋等[19]的方法,使用色差计测定样品的亮度值(L*)、红度值(a*)和黄度值(b*)。参考田雅琴等[20]的方法测定不同样品质构特性。

1.3.4 感官评价

感官评价由13 名经过训练的评价员完成,并已通过陕西科技大学食品科学与工程学院的伦理审批,以确保遵循相关伦理原则和法律法规。将不同发酵香肠样品分别置于白色塑料杯中,采用随机3 位数字编码。评价员对香肠的颜色、质地、风味、气味、滋味及总体可接受度进行9 分制评分,采用6 个描述词(肉香、奶香、果香、甜香、酸味和清新味)对香肠的香气特征进行描述性评价。1 分代表最低、9 分代表最高。

1.3.5 微生物计数

用无菌刀切下10 g香肠样品,转移到无菌塑料袋中,加入90 mL无菌生理水(0.85 g/100 mL NaCl)均质,进行10 倍梯度稀释,选择2~3 个合适的稀释度进行平板倾注。细菌在平板计数琼脂平板上37 ℃培养48 h;LAB在MRS平板上37 ℃培养48 h;葡萄球菌在MSA平板上37 ℃培养48 h。微生物数量以lg(CFU/g)表示。

1.3.6 挥发性风味物质测定

参考Wu Liu等[17]的方法并稍做修改,采用顶空固相微萃取法提取挥发性化合物,并采用气相色谱-质谱联用法进行分析。取3 g样品放置于顶空瓶中,加入10 μL 0.01 mg/mL 2-甲基-3-庚酮作为内标。样品在60 ℃条件下平衡15 min,然后用50/30 µm CAR/DVB/PDMS纤维头在60 ℃下萃取40 min,在250 ℃的注入端口中解吸5 min,载气为氦气,流速1 mL/min。升温程序:初始温度40 ℃,保持5 min,以3 ℃/min升温至110 ℃,保持5 min,然后以2 ℃/min升温至150 ℃,保持5 min,最后以10 ℃/min升温至250 ℃,保持5 min。在电离能量为70 eV的总离子电流模式下进行电子电离质谱检测,电离源温度230 ℃,扫描范围m/z 20~500,转移管温度250 ℃。通过与NIST11数据库的质谱比对对化合物进行定性,通过计算各化合物与内标的相对峰面积进行定量(μg/g)。

1.4 数据分析

采用SPSS Statistics 25软件对数据进行分析。采用Tukey多重比较方差分析(ANOVA)评价差异的统计学意义(P<0.05),并使用R程序(v.3.6.3)进行可视化。

2 结果与分析

2.1 CNS菌种多样性对发酵香肠水分含量、aw、pH值的影响

如图1所示,与CK组相比,发酵剂的接种降低了发酵香肠的aw、水分含量和pH值。其中,TEH-4组aw、水分含量和pH最低,可能是由于发酵剂中CNS多样性的增加促进CNS与P.pentosaceus的正向相互作用,促使P.pentosaceus生长并产生大量有机酸,从而降低发酵香肠pH值[21]。同时,大量有机酸的产生会导致肌原纤维内和肌原纤维间的蛋白网络严重失水,使aw和水分含量降低[22-23]。如图1B所示,TEH-4组发酵香肠pH值为5.17,显著低于CK组和TPTS组(P<0.05),这表明与S.xylosus相比,P.pentosaceusS.equorum的组合有助于P.pentosaceus产生更多有机酸。

图1 不同组别发酵香肠水分含量、aw(A)和pH值(B)
Fig.1 Moisture content, aw (A) and pH (B) of fermented sausages in different groups

小写字母不同表示差异显著(P<0.05)。

2.2 CNS菌种多样性对发酵香肠色泽的影响

如图2A所示,所有接种组的L*均低于CK组。已有研究[24]指出,L*通常与产品的pH值和aw呈正相关。本研究中,TEH-4组样品的pH值和水分含量最低,且L*最低。在酸性条件下,肌肉蛋白对水分的保持能力减弱,导致发酵过程中水分更易流失,从而使表面结构更致密、亮度降低[25]

图2 不同组别发酵香肠L*(A)、a*(B)和b*(C)
Fig.2 Brightness value (A), a* (B), and yellowness value (C) of fermented sausages in different groups

ns.无显著差异(P>0.05);*.差异显著(P<0.05);**.差异极显著(P<0.01)。

如图2B所示,所有接种组的a*均显著高于CK组(P<0.05)。这一现象主要归因于发酵剂中CNS所具有的亚硝酸盐还原酶活性,可催化亚硝酸盐生成NO,并与肌红蛋白结合,形成稳定的亚硝基肌红蛋白,赋予产品典型的红色[26]。TEH-4组表现出的更强发色效果,可能与其发酵剂中CNS菌种的多样性相关,多菌种间的代谢协同作用可能增强了NO生成与肌红蛋白反应效率,提高了发色速率及其稳定性。如图2C所示,各处理组间b*无显著差异,表明接种不同CNS菌种对产品黄度的影响相对较小。

2.3 CNS菌种多样性对发酵香肠质构特性的影响

如表3所示,各处理组发酵香肠的硬度、弹性、黏聚性均无显著差异。虽然TPEH组发酵香肠的咀嚼性显著低于其他组(P<0.05),但感官评价结果显示,所有发酵香肠在质地方面并无明显差异。

表3 不同组别发酵香肠的质构特性
Table 3 Texture properties of fermented sausages in different groups

注:同列小写字母不同表示差异显著(P<0.05)。表4同。

组别硬度/g弹性黏聚性咀嚼性/g CK4 689.82±760.56a0.42±0.05a0.39±0.03a739.09±74.31a TPTS4 700.31±128.39a0.44±0.04a0.40±0.03a808.48±67.74a TPEH4 552.84±461.70a0.46±0.03a0.41±0.03a523.31±14.45b TEH-44 710.76±490.33a0.43±0.02a0.40±0.00a825.53±129.91a

2.4 CNS菌种多样性对发酵香肠感官特性的影响

如图3A所示,与CK组相比,接种发酵剂提高了发酵香肠的整体感官接受度,其中TEH-4组的总体可接受度评分(7.55)最高。接种发酵剂组香肠均获得较高的颜色评分,这一结果与其较高的a*相吻合。如图3B所示,CK组的整体风味评分最低;TPTS组表现出更强的果香;TPEH组则以酸味(7.75)和清新味(7.52)为主;而TEH-4组的发酵香肠具有适中的酸味,并伴有较强的果香(7.58)、奶香(7.86)和甜香(7.63)。感官评价结果表明,提高发酵剂中CNS的多样性有助于提升发酵香肠的整体感官品质。

图3 不同组别发酵香肠整体感官评价(A)和香气评价(B)
Fig.3 Overall sensory evaluation (A) and aroma evaluation (B) of fermented sausages in different groups

2.5 CNS菌种多样性对发酵香肠微生物数量的影响

如表4所示,所有接种组的葡萄球菌数量均显著高于未接种组(P<0.05)。其中,TEH-4组的葡萄球菌数量最多,达8.41(lg(CFU/g))。其原因可能在于发酵过程中,P.pentosaceus分泌的内肽酶和外肽酶促进蛋白质降解,释放大量游离氨基酸,为葡萄球菌提供了丰富的营养底物。此外,TEH-4组中CNS的多样性增加,可能使其菌群在生态位中具有更强的资源占据能力和互补代谢潜力,从而获得了更明显的生长优势[27-28]。有研究[21]表明,葡萄球菌与LAB之间存在正向的相互作用,提高CNS多样性有利于LAB生长。因此TEH-4组中LAB数量最多,这也是TEH-4组发酵香肠的pH值低于其他组的主要原因。

表4 不同组别发酵香肠的微生物数量
Table 4 Microbial count in fermented sausages in different groups lg(CFU/g)

组别菌落总数LAB数葡萄球菌数CK8.40±0.03b8.18±0.08a7.88±0.03c TPTS8.40±0.02ab8.26±0.13a8.19±0.07b TPEH8.41±0.06ab8.27±0.01a8.25±0.05b TEH-48.49±0.04a8.48±0.02b8.41±0.05a

2.6 CNS菌种多样性对发酵香肠挥发性风味物质的影响

采用顶空固相微萃取-气相色谱-质谱联用技术对4 组发酵香肠中的挥发性化合物进行测定,共检出57 种挥发性化合物,包括酸类(6 种)、酯类(12 种)、醛类(15 种)、醇类(9 种)、酮类(3 种)、酚类(6 种)和萜烯类(6 种)。其中,酯类化合物在所有组中均具有较高的占比,尤其是在TEH-4组(38.45%)和TPTS组(42.60%)中;酮类化合物在CK组(2.67%)和TPEH组(1.10%)中相对含量较低(图4A)。尽管CK、TPTS、TPEH和TEH-4 4 组样品中存在多种相同的挥发性风味化合物(图4B),但聚类分析结果显示,不同发酵剂接种组香肠中挥发性风味化合物的组成存在明显差异(图5)。为进一步比较不同类型化合物在各组样品中的丰度差异,对不同处理组发酵香肠中的各类挥发性风味化合物进行了分析(图4C)。

图4 不同组别发酵香肠挥发性风味化合物饼图(A)、Venn图(B)、气泡模式含量图(C)
Fig.4 Pie chart (A), Venn diagram (B), and bubble chart (C) of volatile flavor compounds in fermented sausages in different groups

下标1.CK;下标2.TEH-4;下标3.TPEH;下标4.TPTS。

图5 不同组别发酵香肠挥发性风味化合物聚类热图
Fig.5 Clustering heatmap of volatile flavor compounds in fermented sausages in different groups

在所有处理组香肠中共检出6 种酸类化合物。其中,乙酸是各组香肠中含量最高的酸类物质,其主要通过LAB利用己糖和戊糖经磷酸酮糖途径代谢生成[29],赋予香肠独特的发酵酸味。3-甲基丁酸作为一种阈值极低的支链酸,具有奶油风味,主要由葡萄球菌通过亮氨酸代谢的氧化脱羧作用生成[30]。值得注意的是,TEH-4组中该物质的含量高于其他组,表明CNS多样性的增加可能增强了其对支链氨基酸的代谢能力,从而产生更多的支链代谢产物[31-32]。此外,TPEH组中酸类物质的总含量最高(图4C),包括乙酸、己酸和癸酸,表明P.pentosaceusS.equorum的组合有利于酸类化合物的形成。

TEH-4组中的酯类和酮类化合物含量均为最高,其次为TPTS组。其中TEH-4组中多种乙酯类化合物呈较高水平,如2-甲基丁酸乙酯、戊酸乙酯、辛酸乙酯和癸酸乙酯(图5),这些化合物与果香、甜香及花香密切相关,解释了TEH-4组具有更为突出的甜香和果香特征的原因。不同CNS菌种在代谢能力和底物利用路径上存在差异和互补性,菌种多样性的增加可能有助于多种代谢途径的协同运作,从而有利于酯类风味物质的形成[1,33]。此外,尽管TPTS组中酯类含量较高,但酸类含量却相对较低。由于有机酸是酯类生成的重要前体,TPTS组中的P.pentosaceusS.xylosus可能通过增强的酯化活性促进了酸类向酯类的转化。

在TPEH组中,醛类物质含量尤其丰富,己醛、庚醛等挥发性成分含量高于其他组,赋予香肠清新风味(图5),表明P.pentosaceusS.equorum的组合有助于醛类物质的积累。3-甲基丁醛是一种阈值极低的风味化合物,在低含量下即可赋予产品果香和奶酪风味。葡萄球菌可通过支链氨基酸代谢促进3-甲基丁醛的形成[34]。因此,TEH-4组中检出3-甲基丁醛,可能与起始发酵剂中CNS菌种多样性增加有关。

接种组香肠中1-辛烯-3-醇的含量高于CK组,该化合物具有典型的蘑菇香气,其含量升高可能与葡萄球菌与LAB协同促进氨基酸的Strecker降解反应及脂肪酸分解过程有关[33]。2,3-丁二醇含量在TEH-4组中最高,赋予样品轻微的甜香和奶香。

4 组发酵香肠中共检出3 种酮类物质:2-壬酮、3-羟基-2-丁酮和1-辛烯-3-酮。其中,2-壬酮作为甲基酮类物质,主要通过葡萄球菌对脂肪酸的氧化生成,赋予产品果香味[32];3-羟基-2-丁酮具有奶酪风味,其在TEH-4组中含量最高。此外,2,3-丁二醇可在丁二醇脱氢酶的催化下转化为3-羟基-2-丁酮,这可能是TEH-4组中该化合物含量较高的原因[21]。值得注意的是,1-辛烯-3-酮仅在TEH-4组中被检出,主要赋予其蘑菇风味。

综上所述,不同发酵剂组合影响发酵香肠中挥发性风味化合物的组成和比例。TEH-4组在酯类、酸类及酮类等关键风味物质上均表现出显著优势,赋予香肠更浓郁的果香、甜香和奶香,和感官评价结果一致,表明CNS菌种多样性的提高可优化发酵香肠的风味层次与感官品质。

2.7 主成分分析(principal component analysis,PCA)

为了探究添加不同发酵剂对发酵香肠特性的影响,对香肠样本、理化性质和关键风味物质进行PCA。如图6所示,3 个PC的方差贡献率分别为58.47%、26.99%、11.31%,累计方差贡献率达96.77%,能够有效反映样品间的主要差异。PCA载荷图表明,TEH-4组落在第1象限,分布在PC1和PC2的正向端,与3-甲基丁醛、1-辛烯-3-酮、2-甲基丁酸乙酯、癸酸乙酯、2-甲基丁酸、3-甲基丁酸、3-羟基-2丁酮、a*和b*相关性较大。而CK组落在第3象限,分布在PC1和PC2的负向端,与苯甲醛、L*与pH值相关性较大。TPEH组落在第2象限,主要以醛类为特征风味物质,与聚类热图结果一致,与己醛、辛醛、苯乙醛等风味物质相关性较大。TPTS组落在第4象限,与己酸乙酯和辛酸乙酯相关性较大。由综合感官评价及PCA结果可知,由S.equorumEH-4、S.xylosus TS-1和P.pentosaceus TP-1组成的发酵剂对提高发酵香肠食用品质具有重要作用。

图6 不同发酵剂组合对发酵香肠风味与理化特性影响的PCA图
Fig.6 Principal component analysis plot showing the effects of different combinations of fermentation agents on the flavor and physicochemical properties of fermented sausages

3 结 论

研究表明,所有接种组发酵香肠的pH值、水分含量和aw均低于未接种组。TPTS组(S.xylosus TS-1+P.pentosaceus TP-1)积累了较高水平的酯类化合物,赋予香肠果香风味;TPEH组(S.equorum EH-4+P.pentosaceus TP-1)积累了更多的酸类物质,呈现以酸味为主的风味。TEH-4组(三者联合接种)酸类和酯类物质平衡,且酯类物质含量最高,带来丰富的果香、奶酪风味和甜香。此外,TEH-4组中酮类和醇类化合物的含量较高,进一步提升了风味层次。感官评价结果表明,TEH-4组发酵香肠更受感官评价人员青睐。综上所述,增加CNS菌种的多样性提升了发酵香肠的风味层次和感官品质,体现出优化发酵剂组合在改善产品品质方面的潜力。

参考文献:

[1] ZHENG S S, WANG C Y, HU Y Y, et al.Enhancement of fermented sausage quality driven by mixed starter cultures: elucidating the perspective of flavor profile and microbial communities[J].Food Research International, 2024, 178: 113951.DOI:10.1016/j.foodres.2024.113951.

[2] FLORES M, PIORNOS J A.Fermented meat sausages and the challenge of their plant-based alternatives: a comparative review on aroma-related aspects[J].Meat Science, 2021, 182: 108636.DOI:10.1016/j.meatsci.2021.108636.

[3] STAVROPOULOU D A, FILIPPOU P, DE SMET S, et al.Effect of temperature and pH on the community dynamics of coagulase-negative staphylococci during spontaneous meat fermentation in a model system[J].Food Microbiology, 2018, 76: 180-188.DOI:10.1016/j.fm.2018.05.006.

[4] 扈莹莹, 巴音巴特·巴依尔塔, 刘跃, 等.发酵肉制品中微生物的代谢作用及其对风味物质形成的影响研究进展[J].食品科学, 2024,45(22): 322-328.DOI:10.7506/spkx1002-6630-20240409-073.

[5] LI Y X, CAO Z X, YU Z H, et al.Effect of inoculating mixed starter cultures of Lactobacillus and Staphylococcus on bacterial communities and volatile flavor in fermented sausages[J].Food Science and Human Wellness, 2023, 12(1): 200-211.DOI:10.1016/j.fshw.2022.07.010.

[6] TIAN J J, YANG X Q, ZHANG K P, et al.Influence of Lactobacillus helveticus ZF22 and TR1-1-3 strains on the aromatic flavor of fermented sausages[J].Frontiers in Nutrition, 2023, 9: 1058109.DOI:10.3389/fnut.2022.1058109.

[7] CHEN J, LI S M, LIN Y Q, et al.The role of coagulase-negative staphylococci on aroma generation of fermented sausage[J].Meat Science, 2025, 221: 109730.DOI:10.1016/j.meatsci.2024.109730.

[8] CHEN Q, KONG B H, HAN Q, et al.The role of bacterial fermentation in the hydrolysis and oxidation of sarcoplasmic and myofibrillar proteins in Harbin dry sausages[J].Meat Science, 2016,121: 196-206.DOI:10.1016/j.meatsci.2016.06.012.

[9] YANG P, ZHONG G X, YANG J C, et al.Metagenomic and metabolomic profiling reveals the correlation between the microbiota and flavor compounds and nutrients in fermented sausages[J].Food Chemistry, 2022, 375: 131645.DOI:10.1016/j.foodchem.2021.131645.

[10] 赵拎玉, 杨娟春, 钟桂霞, 等.合成菌群的构建及其对发酵香肠风味的改良效果[J].肉类研究, 2021, 35(11): 16-23.DOI:10.7506/rlyj1001-8123-20210408-096.

[11] KASTMAN E K, KAMELAMELA N, NORVILLE J W, et al.Biotic interactions shape the ecological distributions of Staphylococcus species[J].mBio, 2016, 7(5): e01157-16.DOI:10.1128/mBio.01157-16.

[12] FONSECA S, CACHALDORA A, GÓMEZ M, et al.Effect of different autochthonous starter cultures on the volatile compounds profile and sensory properties of Galician chorizo, a traditional Spanish dry fermented sausage[J].Food Control, 2013, 33(1): 6-14.DOI:10.1016/j.foodcont.2013.01.040.

[13] KHUSRO A, AARTI C.Metabolic heterogeneity and technofunctional attributes of fermented foods-associated coagulasenegative staphylococci[J].Food Microbiology, 2022, 105: 104028.DOI:10.1016/j.fm.2022.104028.

[14] LEROY F, GOUDMAN T, DE VUYST L.The influence of processing parameters on starter culture performance[M]//TOLDRÁ F,HUI Y H, ASTIASARÁN I, et al.Handbook of fermented meat and poultry.Hoboken: Wiley Online Library, 2014: 169-175.DOI:10.1002/9781118522653.ch20.

[15] STAVROPOULOU D A, DE MAERE H, BERARDO A, et al.Species pervasiveness within the group of coagulase-negative staphylococci associated with meat fermentation is modulated by pH[J].Frontiers in Microbiology, 2018, 9: 2232.DOI:10.3389/fmicb.2018.02232.

[16] STAVROPOULOU D A, BORREMANS W, DE VUYST L, et al.Amino acid conversions by coagulase-negative staphylococci in a rich medium: assessment of inter- and intraspecies heterogeneity[J].International Journal of Food Microbiology, 2015, 212: 34-40.DOI:10.1016/j.ijfoodmicro.2015.04.048.

[17] WU L, ZHAO L Y, TAO Y M, et al.Improving the aroma profile of inoculated fermented sausages by constructing a synthetic core microbial community[J].Journal of Food Science, 2023, 88(11): 4388-4402.DOI:10.1111/1750-3841.16764.

[18] LIU K H, YANG P, ZHANG X D, et al.Metabolic crossfeeding enhances branched-chain aldehydes production in a synthetic community of fermented sausages[J].International Journal of Food Microbiology, 2023, 407: 110373.DOI:10.1016/j.ijfoodmicro.2023.110373.

[19] 范鑫洋, 张香美, 刘程鹏, 等.酿酒酵母Y-8对发酵香肠品质与风味的影响[J].食品科学, 2024, 45(7): 119-126.DOI:10.7506/spkx1002-6630-20230811-081.

[20] 田雅琴, 孙丁, 杨娟春, 等.不同原料肉对发酵香肠食用品质的影响[J].肉类研究, 2022, 36(1): 27-33.DOI:10.7506/rlyj1001-8123-20210729-191.

[21] ZHANG D, YANG P, LIU K H, et al.The effective of bacterial community dynamics driven by different starter cultures on the flavor development of Chinese fermented sausages[J].Food Chemistry: X,2023, 19: 100838.DOI:10.1016/j.fochx.2023.100838.

[22] WANG J, HOU J N, ZHANG X, et al.Improving the flavor of fermented sausage by increasing its bacterial quality via inoculation with Lactobacillus plantarum MSZ2 and Staphylococcus xylosus YCC3[J].Foods, 2022, 11(5): 736.DOI:10.3390/foods11050736.

[23] GARCÍA GARCÍA A B, LARSEN L B, CAMBERO RODRÍGUEZ M I,et al.Proteolysis process in fermented sausage model systems as studied by NMR relaxometry[J].Journal of Agricultural and Food Chemistry, 2015, 63(11): 3039-3045.DOI:10.1021/acs.jafc.5b00660.

[24] 夏玲燕, 钱敏, 徐晔, 等.植物乳植杆菌IMAUJBP3和罗伊氏乳杆菌IMAUJBR3复配对发酵羊肉香肠品质及多肽抗氧化能力的影响[J].食品科学, 2025, 46(6): 80-88.DOI:10.7506/spkx1002-6630-20240830-231.

[25] SAYAS-BARBERÁ E, VIUDA-MARTOS M, FERNÁNDEZ-LÓPEZ F,et al.Combined use of a probiotic culture and citrus fiber in a traditional sausage ‘Longaniza de Pascua’[J].Food Control, 2012,27(2): 343-350.DOI:10.1016/j.foodcont.2012.04.009.

[26] GÓMEZ M, LORENZO J M.Effect of fat level on physicochemical,volatile compounds and sensory characteristics of dry-ripened“chorizo” from Celta pig breed[J].Meat Science, 2013, 95(3): 658-666.DOI:10.1016/j.meatsci.2013.06.005.

[27] TAN J Q, YANG X, JIANG L.Species ecological similarity modulates the importance of colonization history for adaptive radiation[J].Evolution, 2017, 71(6): 1719-1727.DOI:10.1111/evo.13249.

[28] CEBRIÁN E, RONCERO E, DELGADO J, et al.Deciphering Staphylococcus xylosus and Staphylococcus equorum mode of action against Penicillium nordicum in a dry-cured ham model system[J].International Journal of Food Microbiology, 2023, 405: 110342.DOI:10.1016/j.ijfoodmicro.2023.110342.

[29] RAVYTS F, DE VUYST L, LEROY F.Bacterial diversity and functionalities in food fermentations[J].Engineering in Life Sciences,2012, 12(4): 356-367.DOI:10.1002/elsc.201100119.

[30] YANG L, LI H J, WU H, et al.Effect of staphylococci fermentation and their synergistic Lactobacillus on the physicochemical characteristics and nonvolatile metabolites of Chinese bacon[J].Meat Science, 2024, 212: 109461.DOI:10.1016/j.meatsci.2024.109461.

[31] LI L, PEREA-SANZ L, SALVADOR A, et al.Understanding the impact of nitrogen and sulfur precursors on the aroma of dry fermented sausages[J].Meat Science, 2022, 192: 108896.DOI:10.1016/j.meatsci.2022.108896.

[32] MONTANARI C, BARBIERI F, GARDINI G, et al.Effects of starter cultures and type of casings on the microbial features and volatile profile of fermented sausages[J].Fermentation, 2022, 8(12): 683.DOI:10.3390/fermentation8120683.

[33] MA Y, GAO Y F, XU Y J, et al.Microbiota dynamics and volatile metabolite generation during sausage fermentation[J].Food Chemistry,2023, 423: 136297.DOI:10.1016/j.foodchem.2023.136297.

[34] DOMÍNGUEZ R, PURRIÑOS L, PÉREZ-SANTAESCOLÁSTICA C,et al.Characterization of volatile compounds of dry-cured meat products using HS-SPME-GC/MS technique[J].Food Analytical Methods, 2019, 12(6): 1263-1284.DOI:10.1007/s12161-019-01491-x.

Influence of Species Diversity of Coagulase-Negative Staphylococci in Starter Cultures on the Sensory Characteristics of Fermented Sausages

SONG Futong1, LI Ruren1,*, TIAN Yaqin2, ZHANG Di1, YAO Yafang1, ZHANG Nan1, LI Wenqian1, RONG Liangyan1,*
(1.School of Food Science and Engineering, Shaanxi University of Science & Technology, Xi’an 710021, China;2.College of Food Science and Technology, Bohai University, Jinzhou 121013, China)

Abstract: To investigate the effects of the species heterogeneity and diversity of coagulase-negative staphylococci (CNS)on the flavor characteristics and physicochemical properties of fermented sausages, binary and ternary combinations of Staphylococcus equorum EH-4 and Staphylococcus xylosus TS-1 with Pediococcus pentosaceus TP-1, S.equorum EH-4 +P.pentosaceus TP-1 (TPEH), S.xylosus TS-1 + P.pentosaceus TP-1 (TPTS), and S.equorum EH-4 + S.xylosus TS-1 +P.pentosaceus TP-1 (THE-4) were used as starters to prepare fermented sausages.The results showed that water activity(aw), moisture content and pH were all reduced, and redness value (a*) was increased in the inoculated groups compared to non-inoculated controls.In terms of volatile flavor compounds, the content of ester compounds was significantly higher and the content of acid levels was lower in the TPTS group, while the TPEH group produced a greater amount of acid compounds and consequently got a higher sensory score for sourness (7.75).By contrast, the THE-4 group exhibited a more balanced acid profile and significantly enhanced levels of key flavor-active compounds, including esters (ethyl octanoate, methyl octanoate), alcohols (1-octen-3-ol, 2,3-butanediol), and ketones (2-nonanone, 3-hydroxy-2-butanone), so that it got higher sensory scores for fruity (7.58), milky (7.86), and sweet (7.63) aroma attributes.These findings suggest that increasing species diversity of CNS in starter cultures promotes the synthesis of characteristic volatile compounds in fermented sausages, thereby improving its sensory quality.

Keywords: coagulase-negative staphylococci; species heterogeneity; species diversity; volatile flavor compounds; sensory characteristics

收稿日期:2025-05-13

基金项目:陕西省教育厅服务地方专项科学研究计划项目(产业化培育项目)(24JC015);秦创原引用高层次创新创业人才项目(QCYRCXM-2023-053);国家自然科学基金面上项目(32072242);陕西省三秦英才引进计划青年项目(SXV20240516)

第一作者简介:宋富彤(2000—)(ORCID: 0009-0004-9273-6775),女,硕士研究生,研究方向为肉品加工与质量安全控制。E-mail: 15294190512@163.com

*通信作者简介:

李儒仁(1986—)(ORCID: 0000-0003-2535-9928),男,教授,博士,研究方向为肉品加工与质量安全控制。E-mail: liruren@126.com

荣良燕(1983—)(ORCID: 0000-0003-3707-2086),女,副教授,博士,研究方向为肉品加工与质量安全控制。E-mail: rongliangyan000@163.com

DOI: 10.7506/rlyj1001-8123-20250513-146

中图分类号:TS251.5

文献标志码:A

文章编号:1001-8123(2026)03-0009-08

引文格式:

宋富彤, 李儒仁, 田雅琴, 等.发酵剂中凝固酶阴性葡萄球菌菌种多样性对发酵香肠感官特性的影响[J].肉类研究,2026, 40(3): 9-16.DOI:10.7506/rlyj1001-8123-20250513-146.http://www.rlyj.net.cn

SONG Futong, LI Ruren, TIAN Yaqin, et al.Influence of species diversity of coagulase-negative staphylococci in starter cultures on the sensory characteristics of fermented sausages[J].Meat Research, 2026, 40(3): 9-16.DOI:10.7506/rlyj1001-8123-20250513-146.http://www.rlyj.net.cn