植物源提取物对肉制品中杂环胺抑制作用研究进展

马子越1,冼燕萍2,佘文海3,钱 敏1,曾晓房1,白卫东1,董 浩1,*

(1.仲恺农业工程学院轻工食品学院,广东 广州 510225;2.广州质量监督检测研究院,广东 广州 511447;3.广州禄仕食品有限公司,广东 广州 510820)

摘 要:杂环胺是一类热加工伴生危害物,具有强致癌性、致突变性,主要由富含蛋白质的食品在高温加工过程中产生,尤其在肉制品中极易出现。因此,肉制品中杂环胺的减控受到越来越多科研人员的关注。在肉制品加工过程中添加特定的植物源提取物是抑制杂环胺生成的有效手段。然而,植物源提取物的种类、成分与功能多样,富含多种天然活性物质,对肉制品中杂环胺生成的影响也较为复杂。鉴于此,本文首先介绍杂环胺的形成与危害,重点阐述水果、蔬菜、香辛料、中草药4 种植物源提取物对肉制品中杂环胺生成的影响,并强调植物源提取物复配对杂环胺生成的协同抑制,为杂环胺的抑制研究及植物源提取物在肉制品中的应用提供一定理论依据。

关键词:植物源提取物;肉制品;杂环胺;抑制作用

杂环胺(heterocyclic amines,HAs)是肉制品在烧烤、煎炸、烟熏等高温加工过程中因糖类与蛋白质、氨基酸等反应产生的具有致癌或致突变作用的芳香族化合物。根据极性与生成条件,HAs可以分为极性HAs与非极性HAs两大类。极性HAs也称氨基咪唑氮杂芳烃(amino imidazoazarenes,AIAs),其结构均存在1 个N-甲基-氨基咪唑主体。AIAs是2-氨基-3-甲基咪唑并[4,5-f]喹啉(2-amino-3-methyl-imidazo[4,5-f]quinoline,IQ)型HAs,包括3 个类别,分别为喹喔啉类(2-氨基-3-甲基咪唑并[4,5-f]喹喔啉(2-amino-3-methyl-imidazo[4,5-f]quinoxaline,IQx)、2-氨基-3,8-二甲基咪唑并[4,5-f]喹喔啉(2-amino-3,8-dimethylimidazo[4,5-f]quinoxaline,MeIQx)、2-氨基-3,4,8-三甲基咪唑并[4,5-f]喹诺啉(2-amino-3,4,8-trimethyl-imidazo[4,5-f]quinoxaline,4,8-DiMeIQx)、2-氨基-3,7,8-三甲基咪唑并[4,5-f]喹诺啉(2-amino-3,7,8-trimethyl-imidazo[4,5-f]quinoxaline,7,8-DiMeIQx)等)、喹啉类(IQ、2-氨基-3,4-二甲基咪唑并[4,5-f]喹诺啉(2-amino-3,4-dimethyl-imidazo[4,5-f]quinoline,MeIQ)等)和吡啶类(2-氨基-1,6-二甲基咪唑并[4,5-b]吡啶(2-amino-3-methyl-imidazo[4,5-b]quinoxaline,DMIP)、2-氨基-1,5,6-三甲基咪唑并[4,5-b]吡啶(2-amino-1,5,6-trimethylimidazo[4,5-b]pyridine,1,5,6-TMIP)、3,5,6-TMIP、2-氨基-1-甲基-6-苯基咪唑并[4,5-b]吡啶(2-amino-1-methyl-6-phenylimidazo[4,5-b]pyridine,PhIP)、2-氨基-1-甲基-6-(4-羟基苯基)-咪唑并[4,5-b]吡啶(2-amino-1-methyl-6-(4-hydroxyphenyl)-imidazo[4,5-b]pyridine,4-OH-PhIP)等)。非极性HAs也称氨基咔啉杂芳烃,同时也是非IQ型HAs,分为α-咔啉类(2-氨基-9H-吡啶并[2,3-b]吲哚(2-amino-9H-pyrido[2,3-b]indole,AαC)、2-氨基-3-甲基-9H-吡啶并[2,3-b]吲哚(2-amino-3-methyl-9H-pyrido[2,3-b]indole,MeAαC)、β-咔啉类(9H-吡啶[3,4-b]吲哚(9H-pyrido[3,4-b]indole,Norharman)、1-甲基-9H-吡啶并[3,4-b]吲哚(1-methyl-9H-pyrido[3,4-b]indole,Harman))、γ-咔啉类(1,4-二甲基-5H-吡啶[4,3-b]吲哚-3-胺(3-amino-1,4-dimethyl-5H-pyrido[4,3-b]indole acetate,Trp-P-1)、3-氨基-1-甲基-5H-吡啶[4,3-b]吲哚(3-amino-1-methyl-5H-pyrido[4,3-b]indole,Trp-P-2)、δ-咔啉类(2-氨基-3-甲基咪唑并[4,5-f]喹喔啉(2-amino-3-methylimidazo[4,5-f]quinoxaline,Glu-P-1)、2-氨基二吡啶并[1,2-a:3’,2’-d]咪唑(2-aminodipyrido[1,2-a:3’,2’-d]imidazole,Glu-P-2))。

植物源提取物具有抗癌、抗氧化、清除自由基等作用,因此在肉制品中的应用广泛。同时,由于植物源提取物具有天然、无毒、稳定等优点,消费者普遍对添加植物源提取物的肉制品有着较高的接受度。本文综述肉制品中HAs的形成与危害,并着重论述主要的植物源提取物对HAs的抑制机理,并通过具体例子进行阐述,为植物源提取物在肉制品相关研究与实际生产中的应用提供一定的参考。

1 HAs的形成、危害与检测

1.1 HAs的形成

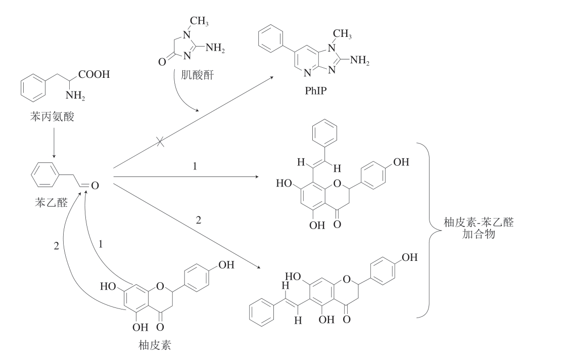
AIAs是由HAs的前体物在高温加工条件下和长时间烹煮后产生的[1]。AIAs中的喹喔啉类与喹啉类是肉制品中的糖类与氨基酸在高温加热条件下发生美拉德反应生成的。美拉德反应中的Strecker降解产物为吡啶和吡嗪。肉制品中的肌酸经反应环化形成肌酸酐,与吡啶和吡嗪发生脱水、环化作用,形成咪唑喹喔啉和咪唑喹啉,如图1所示。吡啶类中的PhIP已被证实其前体物质为苯丙氨酸和苯乙醛。如图2所示,经过Strecker降解,苯丙氨酸转变为苯乙醛。苯乙醛与肌酸酐经过醇醛缩合、亲核加成与脱水作用,形成PhIP咪唑环[2-8]。此外还有研究表明,肌酸与酪氨酸、亮氨酸和异亮氨酸加热同样可以形成PhIP。

图1 喹啉类与喹喔啉类HAs的形成机制[9]
Fig. 1 Formation mechanism of quinoline and quinoxaline heterocyclic amines[9]

图2 PhIP形成机制[10]
Fig. 2 Formation mechanism of 2-amino-1-methyl-6-phenylimidazo[4,5-b]pyridine (PhIP)[10]

氨基咔啉类HAs中的α-咔啉类、γ-咔啉类和δ-咔啉类通常是由蛋白质或氨基酸在300 ℃以上的高温下热解而成[2]。例如,高温下的球蛋白会裂解为AαC和MeAαC,谷氨酸会裂解为Glu-P-1和Glu-P-2,色氨酸会裂解为Trp-P-1和Trp-P-2。然而目前研究较多的是β-咔啉类HAs中的Norharman和Harman,其形成机制如图3所示。有研究表明,在较低温度条件下也可以生成Norharman和Harman。

图3 Norharman和Harman形成机制[11-12]
Fig. 3 Formation mechanism of 9H-pyrido[3,4-b]indole and 1-methyl-9H-pyrido[3,4-b]indole[11-12]

1.2 HAs的危害

HAs的危害包括致突变性[13]、致癌性[14]、神经毒性[15]等。Norharman和Harman自身不具有致突变性[15],但存在苯胺或邻苯甲胺时具有诱变性。此外,Norharman和Harman这2 种氨基咔啉类HAs可以促进其他HAs的致突变性,还可能引起帕金森症、颤动、成瘾等[16]。在人体中,HAs可激活细胞色素酶P450IA1和IA2的氧化作用,形成N-羟基衍生物[17]。而这类物质会导致DNA中的链式氢键断裂、位点突变以及DNA缺失和插入等DNA受损现象,具有对人体肝脏、淋巴组织等器官的致突变性。HAs的致突变能力比黄曲霉毒素B1高100 倍,比苯并芘高2 000 倍。

国际癌症研究机构将MeIQ、MeIQx、PhIP、AαC、MeAαC、Trp-P-1和Trp-P-2列为2B类潜在致癌物,将IQ列为2A类可能致癌物[18]。HAs可与机体内遗传物质DNA形成加合物,引起基因突变、染色体畸变、癌基因活化等DNA损伤,并诱使对应器官产生肿瘤等疾病,其加合物比亚硝胺、黄曲霉毒素B1和苯并芘的致癌性高10 倍。PhIP不仅会通过母乳和胎盘对胎儿造成危害[19],还可能增加乳腺癌的患病风险。β-咔啉类HAs具有神经毒性,在人体内累积后可能会导致阿尔茨海默病和帕金森综合征等神经退行性疾病。动物实验发现,HAs的摄入会明显提高肿瘤的发生率,且癌症主要集中在动物的肝脏和肠道等部位。过量HAs的摄入还会引发非酒精性脂肪肝和神经元损伤等急性疾病以及心血管疾病、肥胖等慢性疾病[20-21]

1.3 HAs的检测

HAs的检测方法主要包括气相色谱-质谱联用、液相色谱、高效液相色谱、液相色谱-质谱联用、液相色谱-串联质谱、超高效液相色谱-串联质谱等[22]。Ouyang Yunfu等[23]建立了高效液相色谱-离子阱-飞行时间串联质谱-加速溶剂萃取联用技术,对熟肉制品中6 种典型的HAs进行定性和定量分析,结果表明,该方法具有较高的重现性,在6 种分析物的3 种质控水平下,日内和日间精密度均小于6.16%。IQ、MeIQ的线性范围为10~1 000 μg/L,MeIQx、PhIP、AαC和MeAαC的线性范围为5~500 μg/L。Dong Hao等[24]建立了一种超高效液相色谱-四极杆轨道阱高分辨质谱法,同时检测腊肉和香肠中14 种HAs,结果表明,14 种HAs在0.2~500 μg/L范围内呈良好的线性关系,相关系数均大于0.997。检测限和定量限分别在0.1~0.8 μg/kg和0.3~2.5 μg/kg范围内。还有学者建立了超快液相色谱-紫外可见检测法[25],测定土耳其市售冷冻肉制品中的9 种HAs,结果表明,肉中IQ、IQx、MeIQ、MeIQx、4,8-DiMeIQx、7,8-DiMeIQx、PhIP、AαC、MeAαC的含量分别为1.95、4.17、0.69、0.83、0.22、0.94、4.58、0.57、3.51 ng/g。总体而言,基于液相色谱-串联质谱的方法因具有优异的灵敏度、检测准确性等优势,在复杂肉制品基质中HAs的检测和确证方面更受科研和检测工作者青睐。

2 植物源提取物对肉制品中HAs的抑制作用

2.1 水果提取物

柑橘类水果中广泛存在柚皮素。Cheng Kawing等[26]建立PhIP产生模型系统,通过加入0~0.4 mmol/L柚皮素,发现柚皮素在模型系统中有效降低了苯乙醛的含量,呈剂量依赖性。这表明,虽然柚皮素清除自由基的能力较弱,但它可以通过抑制苯丙氨酸形成苯乙醛、捕获形成后的苯乙醛,进而抑制PhIP的产生,如图4所示。此外,水果的可食用与不可食用部分均可以进行提取并加入到肉制品中,且均具有抑制HAs生成的作用,如表1所示。

表1 水果提取物对肉制品中HAs的抑制作用
Table 1 Inhibitory effect of fruit extracts on heterocyclic amines in meat products

植物源提取物添加量肉制品种类烹饪方法作用效果参考文献山楂提取物0%、0.5%、1%(m/m)牛肉、鸡胸肉煎炸与烘烤0.5%和1%山楂提取物对鸡胸肉中总HAs含量的抑制率分别为12%~100%和19%~97%,对牛肉中总HAs含量的抑制率分别为42%~100%和20%~35%;在烹饪前添加0.5%的山楂提取物对HAs形成的抑制作用最大,在250 ℃下对HAs含量的降低作用更为明显[27]葡萄籽提取物0.1%、0.5%(m/m)羊肉平底锅200 ℃煎烤0.5%的葡萄籽提取物显著抑制IQ、MeIQx、4,8-DiMeIQx与PhIP 4 种极性HAs的形成,生成量分别减少36.65%、67.73%、35.63%与30.00%,但对非极性HAs的抑制效果并不显著[28]槲皮素提取物0.1%、0.5%(m/m)石榴籽提取物0.5%(m/m)牛肉和鸡肉烤炉、平底锅、炭烤和油炸在牛肉丸中,对PhIP、Norharman、Harman、IQ、MeIQx的抑制率分别为68%、24%、18%、45%和57%;石榴籽提取物对炭烧和油炸牛肉丸中总HAs形成的抑制效果最好,抑制率分别为39%和46%。在鸡肉丸中,对PhIP、Norharman、Harman、IQ、MeIQx抑制率分别为75%、57%、28%、46%和49%;对油炸鸡肉丸的总HAs含量抑制率为49%,而在烤炉烘烤后,总HAs含量反而增加70%[29]

图4 柚皮素抑制PhIP形成的假设途径[26]
Fig. 4 Hypothesized pathways for the inhibition of PhIP formation by naringin[26]

Keşkekoğlu等[29]在向牛肉和鸡肉中添加石榴籽提取物的研究中均未检出4,8-DiMeIQx,这与Turesky等[30]的研究结论相同。此外,Rounds等[31]研究植物源提取物、香料和精油对牛肉饼中HAs的减少作用,植物源提取物选择迷迭香、橄榄皮、苹果皮、绿茶和葡萄籽提取物;香料采用洋葱粉、辣椒粉、大蒜、牛至叶、姜黄和孜然;精油则选择丁香芽油。结果表明,MeIQx、PhIP含量在加入橄榄皮提取物时分别降低79.5%和84.3%,在加入苹果皮提取物时分别降低76.1%和82.1%,均得到较好的抑制,洋葱粉的加入使PhIP的形成减少94.3%,丁香芽油也有类似的效果,使MeIQx和PhIP含量分别降低35.0%和52.1%。

2.2 蔬菜提取物

Vitaglione等[32]建立HAs化学模型系统和肉汁模型系统,提取番茄中的α-生育酚、槲皮素和类胡萝卜素,研究类胡萝卜素和槲皮素对IQx、MeIQx和4,8-DiMeIQx的影响。番茄中的类胡萝卜素(番茄红素、β-胡萝卜素)和生育酚具有亲脂性,类黄酮(槲皮素)和抗坏血酸具有亲水性,均具有抗氧化作用。类胡萝卜素通过捕获自由基或物理猝灭单线态氧起到抗氧化剂的作用。研究表明,在化学体系中,类胡萝卜素质量浓度为1 000 mg/L时,IQx和MeIQx的抑制率分别为36%和11%。在肉汁模型体系中,1 000 mg/L的类胡萝卜素对MeIQx的抑制率为13%,对4,8-DiMeIQx的抑制率为5%。纯槲皮素质量浓度为0.1~100 mg/L时,观察到对MeIQx形成的抑制率为9%~57%。此外,部分蔬菜的提取物可以加入到肉制品中,抑制HAs的生成,如表2所示。

表2 蔬菜提取物对肉制品中HAs的抑制作用
Table 2 Inhibitory effect of vegetable extracts on heterocyclic amines in meat products

植物源提取物添加量肉制品种类 烹饪方法作用效果参考文献马齿苋提取物10%(m/m)牛肉烤箱230 ℃、15 min总HAs含量分别降低62.39%、68.03%和73.75%[33]1%、5%和苦苣菜提取物0%、0.5%、1.5%、3%(m/m)猪肉烤箱200 ℃、45 min,230 ℃、105 min在200 ℃、45 min下,3%苦苣菜提取物对总HAs生成的抑制效果最好;在230 ℃、105 min下,1.5%苦苣菜提取物对总HAs生成的抑制效果最好[34]提取物0.5 g马友鱼240 ℃烤制10 min山药与对照组相比,添加山药提取物后,IQ与8-MeIQx含量均降低到检测限以下,Norharman与Harman含量分别降低59.08%和47.99%[35]

马齿苋及其黄酮成分对牛肉饼中的总HAs有抑制作用。马齿苋中的主要黄酮成分有芦丁、橙皮苷和黄烷酮。马齿苋及其黄酮成分对极性HAs(DMIP、TMIP、PhIP、4,8-DiMeIQx、7,8-DiMeIQx和4,7,8-DiMeIQx)与大部分非极性HAs(Norharman、Harman、AαC和Glu-P-1)均有抑制作用。Norharman生成过程中,抗氧化剂可以通过与反应中间体的2 个氮与羟基形成氢键,从而阻止成环反应的发生。马齿苋及其黄酮成分对Norharman和AαC形成的抑制作用明显且呈剂量依赖性,其中芦丁对Norharman形成的抑制率远高于橙皮苷和黄酮。因此推断在马齿苋对Norharman形成的抑制作用中,芦丁比橙皮苷和黄酮更为关键。

苦苣菜提取物具有抗氧化、抗菌、抗焦虑和抗炎活性,因此可抑制猪肉加热烹煮后产生的HAs。Teng Hui等[36]研究表明,其对IQ、Harman、Norharman和PhIP具有抑制效果。

山药提取物的添加可以阻碍前体物(肌酸、肌酐、葡萄糖、氨基酸)向HAs的转化,降低马友鱼焙烤过程中的脂肪及蛋白氧化[35]。例如,甘氨酸已被证明是MeIQx的前体氨基酸,研究结果表明,山药提取物可能阻碍了甘氨酸前体物向HAs的转化。

2.3 香辛料提取物

香辛料是一种较好的天然抗氧化剂来源。抗氧化剂具有对参与HAs形成的活性中间体(吡嗪和吡啶阳离子自由基)的清除作用,Kikugawa等[37]已通过在抗氧化剂存在下电子自旋共振信号的减少对其进行了证明,如图5所示。

图5 葡萄糖、甘氨酸和肌酸酐反应中吡嗪阳离子自由基产生和诱变剂形成的可能途径及抗坏血酸和异抗坏血酸对反应的影响[37]
Fig. 5 Possible pathways of pyrazine cation free radical generation and mutagen formation in the reaction of glucose, glycine and creatinine under the impact of ascorbic acid and isoascorbic acid[37]

香辛料[38-41]中的黑胡椒、花椒、迷迭香等能抑制HAs的生成,如表3所示。

表3 香辛料提取物对肉制品中HAs的抑制作用
Table 3 Inhibitory effect of spice extracts on heterocyclic amines in meat products

方法作用效果参考文献黑胡椒提取物1%(m/m)猪肉烤箱225 ℃、20 min植物源提取物添加量肉制品种类烹饪黑胡椒乙醇提取物的抑制效果最好,PhIP抑制率可达74.6%[42]花椒提取物0.5%、1.0%或1.5%(m/m)牛肉烤箱225 ℃,每面10 min 0.5%花椒提取物和0.005%山椒酰胺提取物处理可使PhIP、IQx、MeIQx和4,8-DiMeIQx含量分别降低82%、61%、28%和79%,27%、45%、44%和26%。当花椒提取物添加量为1.0%、山椒酰胺提取物添加量为0.010%时,抑制率均达70%以上[43]山椒酰胺提取物0.005%、0.010%或0.015%(m/m)花椒叶提取物0.015%、0.030%、0.045%(m/m)牛肉烤箱225 ℃,每面10 min花椒叶提取物抑制烤牛肉饼中总HAs的生成,最大抑制率为39.87%。添加0.045%花椒叶提取物对PhIP、IQ、MeIQ、Harman、AαC的抑制率分别为71.76%、78.02%、49.07%、35.82%和100%,却促进8-MeIQx和Norharman的生成[44]迷迭香提取物0.05%、0.2%、0.5%(m/m)牛肉191 ℃、6 min或204 ℃、5 min煎炸添加0.5%和0.05%迷迭香提取物(20%乙醇提取)于牛肉饼中,MeIQx和PhIP含量分别降低91.7%和85.3%[45]生姜提取物0.5%、1.0%、1.5%(m/m)牛肉烤箱225 ℃,每面10 min 0.015%姜黄素和1.5%生姜提取物对游离HAs和结合HAs的抑制作用最大,抑制率分别为59.97%和27.42%[46]姜黄素0.005%、0.010%、0.015%(m/m)陈皮提取物4、7、10、13、16 g/100 mL牛肉烤箱200 ℃、10 min陈皮提取物处理烘烤牛肉干中检出MeIQx、4,8-DiMeIQx、Norharman、Harman和PhIP共5 种HAs。160 g/100 mL的陈皮水提物可显著降低MeIQx(34.3%)、PhIP(96.5%)含量,但显著增加了Norharman含量(32.4%),总体上抑制了HAs的生成[47]白芷提取物0.5%、1.0%、1.5%(m/m)白芷多糖0.05%、0.10%、0.15%(m/m)欧前胡素0.005%、0.010%、0.015%(m/m)香兰素0.05%、0.1%、0.15%(m/m)牛肉98 ℃卤煮2 h牛肉烤箱225 ℃,每面10 min游离和结合HAs的最大抑制率分别为36.31%(1.5%白芷提取物)和35.68%(0.015%欧前胡素)[48]香兰素和VC的添加均可使卤煮牛肉中的HAs总量显著降低。当VC添加量为0.15%时,HAs总量减少90%以上[49]VC

香辛料中黑胡椒的提取物成分主要是丁香酚和槲皮素,是抑制PhIP活性的关键化合物[42]。黑胡椒中还含有胡椒碱、硫胺素等天然抗氧化物质,被认为可以通过结合自由基、清除美拉德反应重要中间体等方式阻碍HAs的生成。香辛料中的多酚能够使反应中的羰基化合物含量显著降低,从而抑制β-咔啉类HAs的产生。

Xu Bin等[50]将花椒提取物β-山椒醇添加到鸭肉中,证明其可使肌原纤维蛋白的羰基减少,巯基增加。适量的β-山椒醇可以抑制蛋白质无序结构的形成,并显著提高蛋白质的热变性温度,还可降低肌原纤维蛋白的表面疏水性指数和粒径,从而增强蛋白质结构的稳定性。

迷迭香中的主要酚类和酸类物质是酚类二萜(鼠尾草醇、迷迭香醇、迷迭香二酚、鼠尾草酸)和其他酚类酸(迷迭香酸和咖啡酸)。生姜和生姜中的主要成分姜黄素对HAs的抑制能力主要来源于对自由基(烷基自由基和1O2)的猝灭。自由基含量降低导致脂质过氧化和活性羰基中间体苯乙醛、乙二醛和甲基乙二醛水平降低。姜黄素可以显著抑制PhIP诱导DNA加合物的形成,抑制PhIP诱导多种抗氧化剂和DNA修复基因的表达[51]

2.4 中草药提取物

目前研究选用的中草药大多为药食同源类型,如表4所示。孔繁磊等[52]利用30%乙醇溶液、超声75 min处理紫苏叶,提取到7.80 mg/g总黄酮,发现对PhIP的抑制效果与总黄酮含量呈正相关。Zhao Tianpei等[53]研究发现,槐花提取物富含黄酮类和酚类化合物,具有优异的抗氧化活性,且热处理可增强其抗氧化活性,从而抑制HAs的形成。赵蔚[54]研究发现,显脉旋覆花的水解产物中存在具有亲电性的对香豆酸,对香豆酸主要通过抑制HAs的前体物质肌酸酐而非中间体醛类和吡嗪类干扰羟醛反应的发生,进而影响AIAs类HAs的生成。

表4 中草药提取物对肉制品中HAs的抑制作用
Table 4 Inhibitory effect of Chinese herbal extracts on heterocyclic amines in meat products

植物源提取物添加量肉制品种类 模拟体系加工方法作用效果参考文献紫苏叶提取物0、20.0、31.5、66.9、119.1 mg/10 mL苯丙氨酸-肌酐200 ℃、3.5 h119.1 mg/10 mL紫苏叶提取物显著抑制PhIP的形成,抑制率达80.29%[52]槐花提取物0.2、0.4、0.6 g/100 g(以肉质量计)鸡肉饼 170、190 ℃油炸添加量为0.4 g/100 g(以肉质量计),油炸温度190 ℃时,肉饼总HAs的抑制率最高,为47.34%[53]显脉旋覆花提取物0.005%、0.010%和0.015%(m/m)牛肉饼 225 ℃、20 min(每面10 min)显脉旋覆花提取物可以抑制烤肉饼中HAs的生成,且呈剂量依赖性。根、茎、花、叶4 个部位中根部的提取物抑制效果最好,且在添加量为0.015%时对总HAs的抑制率为63%,对AIAs类HAs的抑制率为73%,显著高于其他组[54]

2.5 其他

玫瑰茶提取物含有丰富的酚类化合物,具有抑制自由基的作用。Jamali等[55]的研究结果表明,220 ℃下玫瑰茶提取物处理组的Norharman和Harman含量显著降低,这可能是因为该天然提取物的抗氧化能力在高温下有所提高。Xu Guihua等[56]同样认为热处理可以提高天然提取物的抗氧化活性。玫瑰茶提取物处理同样使Trp-P-2和Trp-P-1的形成减少,可能是由于天然提取物减少了自由基,以及熟牛肉饼中的吡嗪和美拉德反应中间体。酚类化合物的自由基清除活性和抗氧化活性与分子中的甲氧基取代基以及羟基的位置和数量有关。添加玫瑰茶提取物可以抑制PhIP的形成,这与Yu Di等[57]的研究结果一致,他们将甘蔗糖蜜提取物加入到化学模型系统中,在模型反应中实现了约60%的PhIP抑制。此外,菊花[58-59]、多枝柽柳皮[60]、朝鲜蓟[61]、越橘叶[62]也对HAs有抑制作用。

3 植物源提取物配合物对肉制品中HAs生成的影响

单一的植物源提取物对HAs的作用效果可能有限,或具有不佳的感官特性。因此,有学者将多种植物源提取物复配,或将植物源提取物与其他物质复配加入肉制品中,探究其作用。

3.1 多种植物源提取物复配

Sepahpour等[63]将姜黄、柠檬草、生姜和咖喱叶与牛肉单一或按比例混合腌制。组合添加的物质中,姜黄与柠檬草(50∶50,m/m)和姜黄与生姜(50∶50,m/m)的组合使HAs含量分别降低94.80%和91.73%。据报道[11],可以根据葡萄糖浓度促进或抑制HAs的形成。姜黄和柠檬草中的葡萄糖浓度高于咖喱叶和生姜。葡萄糖含量较高可以消耗反应途径中的肌酸,总HAs相应减少。据推测,与模型系统中的氨基酸相比,增加糖浓度会导致其他美拉德反应产物的形成,这些产物可能与产生HAs的化合物竞争[64]。经优化后,姜黄与柠檬草的混合比例为52.42∶47.57(m/m)时,烤牛肉中HAs的含量最低。还有学者[65]将啤酒、啤酒和香辛料、葡萄酒、葡萄酒和香辛料、脱醇葡萄酒及脱醇葡萄酒和香辛料作为腌制液浸泡牛肉,香辛料为大蒜、生姜、百里香、迷迭香和红辣椒,将其按一定比例加入酒中,结果表明,啤酒与香辛料处理组的总HAs含量最低。

3.2 植物源提取物与蛋白复配

木瓜中存在原花青素,Gao Huihui等[66]研究木瓜果实中的原花青素与牛血清白蛋白的相互作用,结果表明,木瓜果实原花青素与牛血清白蛋白配合物对Norharman、Harman和PhIP 3 种HAs的抑制作用强于单一的木瓜果实原花青素。同时,配合物对Norharman的抑制效果最好,抑制率最高,为76.3%。原花青素可以通过减缓食物脂质氧化降低葡萄糖、肌酸及氨基酸等前体物质的消耗,对HAs的抑制效果呈剂量依赖性。大蒜中含有二烯丙基二硫,又称4,5-二硫杂-1,7-辛二烯(4,5-dithia-1,7-octadiene,DAD),具有刺激性气味,Wan Xin等[67]采用大豆蛋白包埋DAD,构建DAD纳米乳剂,不仅能改善感官特性,同时使烤猪肉中MeIQx、PhIP和Harman含量分别降低51.84%、76.80%、48.70%。

3.3 植物源提取物与水胶体复配

Zhang Nana等[68]将类黄酮苷元和糖苷与壳聚糖低聚物、壳聚糖单体、壳聚糖聚合物进行组合,其中,壳聚糖聚合物和根皮苷以质量比1∶1组合对抑制烤牛肉饼中的PhIP效果最佳。Xue Tian等[69]合成硫酸化κ-卡拉胶、羧甲基化κ-卡拉胶、乙酰化κ-卡拉胶和磷酰化κ-卡拉胶4 种卡拉胶衍生物,并将其作用于鱼饼,结果表明,所有卡拉胶衍生物均显著降低了鱼肉饼中HAs的形成,其中磷酰化κ-卡拉胶效果最佳。磷酰化κ-卡拉胶可能与肌酐和葡萄糖竞争氨基酸,从而抑制HAs的形成。此外,磷酰化κ-卡拉胶与柚皮素对HAs的形成具有协同抑制作用。同时,质量分数1%的磷酰化κ-卡拉胶、磷酰化κ-卡拉胶+柚皮素对鱼肉饼颜色和质地特性的影响无显著差异。因此,亲水胶体和黄酮类化合物的适当组合有助于减轻具有遗传毒性的HAs的膳食暴露。

4 结语

随着食品工业的发展和消费者对食品安全意识的提升,如何减少肉制品中的有害物质成为关注焦点。植物源提取物能有效抑制肉制品中的HAs产生,降低致癌和致突变风险,且因其天然特性而更受消费者信赖。本文综述肉制品中HAs的形成、危害与检测,以及植物源提取物对HAs的抑制作用。目前已有研究表明,水果、蔬菜、香辛料和中草药等提取物均可调控肉制品中HAs含量,其中香辛料提取物应用广泛,还能提升肉制品风味。然而,工业化应用需考虑提取物对肉制品感官品质、营养成分的影响,以及高温下的稳定性和副产物问题。未来研究可探索更多其他具有HAs抑制活性的物质与植物源提取物的复配效果,优化提取工艺,提高其稳定性和活性,并深入探讨其作用机制,扩大应用范围,为保障食品安全和消费者健康作出更大贡献。

参考文献:

[1] 李诗萌, 喻倩倩, 董展廷, 等. 肉类热加工过程中有害物质的形成与控制研究进展[J]. 肉类研究, 2021, 35(1): 92-97. DOI:10.7506/rlyj1001-8123-20201123-280.

[2] 廖国周. 烧烤肉制品中杂环胺形成规律研究[D]. 南京: 南京农业大学, 2008. DOI:10.7666/d.Y1491991.

[3] 刘彪. 油炸鸡腿中反式脂肪酸和杂环胺形成规律及棕榈油品质变化研究[D]. 南京: 南京农业大学, 2015. DOI:10.7666/d.Y3185881.

[4] 刘冬梅, 周若雅, 王勇, 等. 煎炸及烤制食品中危害物的形成与控制研究进展[J]. 食品工业科技, 2021, 42(17): 405-412. DOI:10.13386/j.issn1002-0306.2020080046.

[5] 戚岱莎, 张清. 食物油炸过程中丙烯酰胺和杂环胺的形成及控制方法研究进展[J]. 食品科学, 2021, 42(21): 338-346. DOI:10.7506/spkx1002-6630-20201009-052.

[6] 王震. 油炸和卤煮对鸭胸杂环胺及反式脂肪酸形成的影响[D].南京: 南京农业大学, 2019. DOI:10.27244/d.cnki.gnjnu.2019.000713.

[7] 席俊, 陈阳, 陈珍妮, 等. 高蛋白食品中杂环胺形成与控制的研究进展[J]. 河南工业大学学报(自然科学版), 2021, 42(2): 112-120.DOI:10.16433/j.1673-2383.2021.02.017.

[8] 张晨霞, 马宇翔, 赵天培, 等. 超高效液相色谱-三重四极杆质谱法检测油脂和油炸食品中7 种杂环胺类物质[J]. 色谱, 2020, 38(2): 224-231. DOI:10.3724/SP.J.1123.2019.04046.

[9] GIBIS M. Heterocyclic aromatic amines in cooked meat products:causes, formation, occurrence, and risk assessment[J]. Comprehensive Reviews in Food Science and Food Safety, 2016, 15(2): 269-302.DOI:10.1111/1541-4337.12186.

[10] ZAMORA R, ALCÓN E, HIDALGO F J. Ammonia and formaldehyde participate in the formation of 2-amino-1-methyl-6-phenylimidazo[4,5-b]pyridine (PhIP) in addition to creati(ni)ne and phenylacetaldehyde[J].Food Chemistry, 2014, 155: 74-80. DOI:10.1016/j.foodchem.2014.01.039.

[11] MURKOVIC M. Formation of heterocyclic aromatic amines in model systems[J]. Journal of Chromatography B, 2004, 802(1): 3-10.DOI:10.1016/j.jchromb.2003.09.026.

[12] WANG Y Y, DONG M F, GUO L M, et al. Effect of acrolein on the formation of harman and norharman in chemical models and roast beef patties[J]. Food Research International, 2023, 164: 112465.DOI:10.1016/j.foodres.2023.112465.

[13] 陈龙, 王谊, 程昊, 等. 油炸食品中潜在的几类危害物及其消减技术[J]. 中国食品学报, 2022, 22(2): 376-389. DOI:10.16429/j.1009-7848.2022.02.040.

[14] 陈俏纯, 何志勇, 秦昉, 等. 肉制品加工过程风味和伴生危害物的生成及关联规律[J]. 食品安全质量检测学报, 2019, 10(15): 4848-4855.DOI:10.3969/j.issn.2095-0381.2019.15.004.

[15] 刘嘉璐, 张璐瑶, 王盼盼, 等. 热加工肉制品中β-咔啉类杂环胺的形成、检测及毒性研究进展[J]. 食品安全质量检测学报, 2023, 14(6):135-144. DOI:10.19812/j.cnki.jfsq11-5956/ts.2023.06.014.

[16] 刘甜甜, 姚瑶, 王未, 等. 模型体系中PhIP、Norharman、Harman 3 种杂环胺的形成与抑制[J]. 肉类研究, 2020, 34(3): 1-7.DOI:10.7506/rlyj1001-8123-20191218-305.

[17] 王守涛. 亚临界乙醇/水提取木瓜原花青素及其对油炸鸡肉中杂环胺的抑制作用[D]. 郑州: 河南工业大学, 2022. DOI:10.27791/d.cnki.ghegy.2022.000306.

[18] 薛桂中, 乔明武, 黄现青, 等. 烧烤肉制品加工中多环芳烃和杂环胺形成途径及其防控方法研究进展[J]. 食品与发酵工业, 2022, 48(2):293-301. DOI:10.13995/j.cnki.11-1802/ts.027509.

[19] SHENG W, ZHANG B, ZHAO Q X, et al. Preparation of a broadspectrum heterocyclic aromatic amines (HAAs) antibody and its application in detection of eight HAAs in heat processed meat[J].Journal of Agricultural and Food Chemistry, 2020, 68(52): 15501-15508. DOI:10.1021/acs.jafc.0c05480.

[20] WU X G, ZHANG Z G, HE Z Y, et al. Effect of freeze-thaw cycles on the oxidation of protein and fat and its relationship with the formation of heterocyclic aromatic amines and advanced glycation end products in raw meat[J]. Molecules, 2021, 26(5): 1264. DOI:10.3390/molecules26051264.

[21] CARVALHO A M, MIRANDA A M, SANTOS F A, et al. High intake of heterocyclic amines from meat is associated with oxidative stress[J].British Journal of Nutrition, 2015, 113(8): 1301-1307. DOI:10.1017/S0007114515000628.

[22] DONG H, XIAN Y P, LI H X, et al. Potential carcinogenic heterocyclic aromatic amines (HAAs) in foodstuffs: formation, extraction,analytical methods, and mitigation strategies[J]. Comprehensive Reviews in Food Science and Food Safety, 2020, 19(2): 365-404.DOI:10.1111/1541-4337.12527.

[23] OUYANG Y F, LI H B, TANG H B, et al. A reliable and sensitive LCMS-IT-TOF method coupled with accelerated solvent extraction for the identification and quantitation of six typical heterocyclic aromatic amines in cooked meat products[J]. Analytical Methods, 2015, 7(21):9274-9280. DOI:10.1039/C5AY01236H.

[24] DONG H, XIAN Y P, LI H X, et al. Analysis of heterocyclic aromatic amine profiles in Chinese traditional bacon and sausage based on ultrahigh-performance liquid chromatography-quadrupoleorbitrap high-resolution mass spectrometry (UHPLC-Q-Orbitrap-HRMS)[J]. Food Chemistry, 2020, 310: 125937. DOI:10.1016/j.foodchem.2019.125937.

[25] OZ F, KIZIL M. Determination of heterocyclic aromatic amines in cooked commercial frozen meat products by ultrafast liquid chromatography[J]. Food Analytical Methods, 2013, 6(5): 1370-1378.DOI:10.1007/s12161-012-9553-9.

[26] CHENG K W, WONG C C, CHO C K, et al. Trapping of phenylacetaldehyde as a key mechanism responsible for naringenin’s inhibitory activity in mutagenic 2-amino-1-methyl-6-phenylimidazo[4,5-b]pyridine formation[J]. Chemical Research in Toxicology, 2008, 21(10): 2026-2034. DOI:10.1021/tx800220h.

[27] TENGILIMOGLU-METIN M M, HAMZALIOGLU A, GOKMEN V,et al. Inhibitory effect of hawthorn extract on heterocyclic aromatic amine formation in beef and chicken breast meat[J]. Food Research International, 2017, 99: 586-595. DOI:10.1016/j.foodres.2017.06.044.

[28] 廖国周, 王桂瑛, 徐幸莲, 等. 葡萄籽提取物对烤羊肉中杂环胺形成的影响[J]. 食品与发酵工业, 2011, 37(6): 98-101. DOI:10.13995/j.cnki.11-1802/ts.2011.06.008.

[29] KEŞKEKOĞLU H, ÜREN A. Inhibitory effects of pomegranate seed extract on the formation of heterocyclic aromatic amines in beef and chicken meatballs after cooking by four different methods[J]. Meat Science, 2014, 96(4): 1446-1451. DOI:10.1016/j.meatsci.2013.12.004.

[30] TURESKY R J, BUR H, HUYNH-BA T, et al. Analysis of mutagenic heterocyclic amines in cooked beef products by highperformance liquid chromatography in combination with mass spectrometry[J]. Food and Chemical Toxicology, 1988, 26(6): 501-509. DOI:10.1016/0278-6915(88)90002-6.

[31] ROUNDS L, HAVENS C M, FEINSTEIN Y, et al. Plant extracts,spices, and essential oils inactivate Escherichia coli O157:H7 and reduce formation of potentially carcinogenic heterocyclic amines in cooked beef patties[J]. Journal of Agricultural and Food Chemistry,2012, 60(14): 3792-3799. DOI:10.1021/jf204062p.

[32] VITAGLIONE P, MONTI S, AMBROSINO P, et al. Carotenoids from tomatoes inhibit heterocyclic amine formation[J]. European Food Research and Technology, 2002, 215(2): 108-113. DOI:10.1007/s00217-002-0506-1.

[33] JING J, HE Y H, WANG Y L, et al. Inhibitory effects of Portulaca oleracea L. and selected flavonoid ingredients on heterocyclic amines in roast beef patties and density function theory calculation of binding between heterocyclic amines intermediates and flavonoids[J]. Food Chemistry, 2021, 336: 127551. DOI:10.1016/j.foodchem.2020.127551.

[34] 陈怡. 苦苣菜提取物对肉毒性杂环胺形成的抑制作用及其机理研究[D]. 福州: 福建农林大学, 2020. DOI:10.27018/d.cnki.gfjnu.2020.000338.

[35] 李梦, 林松毅, 王睿纯, 等. 山药提取物对烤马友鱼中杂环胺的抑制作用[J]. 中国食品学报, 2023, 23(1): 194-203. DOI:10.16429/j.1009-7848.2023.01.019.

[36] TENG H, CHEN Y, LIN X J, et al. Inhibitory effect of the extract from Sonchus olearleu on the formation of carcinogenic heterocyclic aromatic amines during the pork cooking[J]. Food and Chemical Toxicology, 2019, 129: 138-143. DOI:10.1016/j.fct.2019.04.043.

[37] KIKUGAWA K, HIRAMOTO K, KATO T, et al. Effect of food reductones on the generation of the pyrazine cation radical and on the formation of the mutagens in the reaction of glucose, glycine and creatinine[J]. Mutation Research, 2000, 465(1/2): 183-190.DOI:10.1016/s1383-5718(99)00227-2.

[38] 李星雨, 徐筱莹, 雷秋琪, 等. 香辛料提取物及其主效成分对煎制猪肉中杂环胺生成的影响[J]. 中国调味品, 2022, 47(3): 21-27.DOI:10.3969/j.issn.1000-9973.2022.03.004.

[39] 邵斌. 传统烧鸡中9 种杂环胺类化合物形成规律研究[D]. 南京:南京农业大学, 2012. DOI:10.7666/d.Y2360717.

[40] 杨光. 香辛料多酚类提取物对烘烤肉中杂环胺的控制研究[D].晋中: 山西农业大学, 2020. DOI:10.27285/d.cnki.gsxnu.2020.000626.

[41] 姚瑶, 彭增起, 邵斌, 等. 20 种市售常见香辛料的抗氧化性对酱牛肉中杂环胺含量的影响[J]. 中国农业科学, 2012, 45(20): 4252-4259.DOI:10.3864/j.issn.0578-1752.2012.20.015.

[42] 鄢嫣, 焦叶, 曾茂茂, 等. 黑胡椒提取物中抑制PhIP活性关键化合物的筛选与鉴定[J]. 中国食品学报, 2020, 20(4): 215-223.DOI:10.16429/j.1009-7848.2020.04.027.

[43] ZENG M M, WANG J H, ZHANG M R, et al. Inhibitory effects of Sichuan pepper (Zanthoxylum bungeanum) and sanshoamide extract on heterocyclic amine formation in grilled ground beef patties[J]. Food Chemistry, 2018, 239: 111-118. DOI:10.1016/j.foodchem.2017.06.097.

[44] 王未, 任晓镤, 鲍英杰, 等. 花椒叶提取物对烤牛肉饼杂环胺形成的影响[J]. 食品科学, 2021, 42(24): 40-47. DOI:10.7506/spkx1002-6630-20201028-281.

[45] PUANGSOMBAT K, SMITH J S. Inhibition of heterocyclic amine formation in beef patties by ethanolic extracts of rosemary[J]. Journal of Food Science,2010, 75(2): T40-T47. DOI:10.1111/j.1750-3841.2009.01491.x.

[46] XUE C Y, DENG P, QUAN W, et al. Ginger and curcumin can inhibit heterocyclic amines and advanced glycation end products in roast beef patties by quenching free radicals as revealed by electron paramagnetic resonance[J]. Food Control, 2022, 138: 109038. DOI:10.1016/j.foodcont.2022.109038.

[47] 夏新武, 王武, 陈从贵, 等. 陈皮对烘烤牛肉干中杂环胺含量的影响[J]. 肉类研究, 2013, 27(11): 19-23. DOI:10.7506/rlyj1001-8123-201311004.

[48] SHEN X, LIU X X, WANG X M, et al. Effect of Angelica dahurica,Angelica dahurica polysaccharides, and imperatorin on free and bound heterocyclic amine generation in roasted beef patties and release profiles of bound heterocyclic amines during in vitro digestion[J].Food Research International, 2024, 175: 113639. DOI:10.1016/j.foodres.2023.113639.

[49] 聂文, 屠泽慧, 张静, 等. 香兰素和维生素C对卤煮牛肉中杂环胺含量的影响[J]. 食品安全质量检测学报, 2017, 8(6): 1987-1992.

[50] XU B, HE W J, YI Y, et al. The impacting mechanism of β-sanshool in Zanthoxylum bungeanum Maxim on the structure of myofibrillar protein in duck meat[J]. LWT-Food Science and Technology, 2023,182: 114838. DOI:10.1016/j.lwt.2023.114838.

[51] JAIN A, SAMYKUTTY A, JACKSON C, et al. Curcumin inhibits PhIP induced cytotoxicity in breast epithelial cells through multiple molecular targets[J]. Cancer Letters, 2015, 365(1): 122-131.DOI:10.1016/j.canlet.2015.05.017.

[52] 孔繁磊, 于迪. 紫苏叶提取物抑制PhIP形成的研究[J]. 食品与发酵科技, 2019, 55(5): 35-39. DOI:10.3969/j.issn.1674-506X.2019.05-007.

[53] ZHAO T P, WANG S K, YU H, et al. Effect of flos sophorae immaturus extract on the formation of heterocyclic amines and quality characteristics of fried chicken patties[J]. LWT-Food Science and Technology, 2024, 214: 117137. DOI:10.1016/j.lwt.2024.117137.

[54] 赵蔚. 显脉旋覆花基于肌酸酐抑制途径影响杂环胺生成的研究[D].无锡: 江南大学, 2021. DOI:10.27169/d.cnki.gwqgu.2021.001693.

[55] JAMALI M A, ZHANG Y W, TENG H, et al. Inhibitory effect of Rosa rugosa tea extract on the formation of heterocyclic amines in meat patties at different temperatures[J]. Molecules, 2016, 21(2): 173.DOI:10.3390/molecules21020173.

[56] XU G H, YE X Q, CHEN J C, et al. Effect of heat treatment on the phenolic compounds and antioxidant capacity of Citrus peel extract[J].Journal of Agricultural and Food Chemistry, 2007, 55(2): 330-335.DOI:10.1021/jf062517l.

[57] YU D, CHEN M S, YU S J. Effect of sugarcane molasses extract on the formation of 2-amino-1-methyl-6-phenylimidazo[4,5-b]pyridine(PhIP) in a model system[J]. Food Chemistry, 2016, 197: 924-929.DOI:10.1016/j.foodchem.2015.11.052.

[58] KHAN I A. 菊花提取物的抗氧化性及其对山羊肉制品杂环胺形成和贮存稳定性研究[D]. 南京: 南京农业大学, 2019. DOI:10.27244/d.cnki.gnjnu.2019.000224.

[59] 陈珍妮. 菊花总黄酮提取物对烤羊肉中杂环胺的抑制研究[D].郑州: 河南工业大学, 2020. DOI:10.27791/d.cnki.ghegy.2020.000388.

[60] 任晓镤. 新疆多枝柽柳皮提取物对烤羊肉饼品质及杂环胺形成的影响[D]. 南京: 南京农业大学, 2020. DOI:10.27244/d.cnki.gnjnu.2020.001640.

[61] TENGILIMOGLU-METIN M M, KIZIL M. Reducing effect of artichoke extract on heterocyclic aromatic amine formation in beef and chicken breast meat[J]. Meat Science, 2017, 134: 68-75. DOI:10.1016/j.meatsci.2017.07.018.

[62] RAČKAUSKIENĖ I, PUKALSKAS A, FIORE A, et al.Phytochemical-rich antioxidant extracts of Vaccinium vitis-Idaea L.leaves inhibit the formation of toxic Maillard reaction products in food models[J]. Journal of Food Science, 2019, 84(12): 3494-3503.DOI:10.1111/1750-3841.14805.

[63] SEPAHPOUR S, SELAMAT J, KHATIB A, et al. Inhibitory effect of mixture herbs/spices on formation of heterocyclic amines and mutagenic activity of grilled beef[J]. Food Additives & Contaminants:Part A: Chemistry, Analysis, Control, Exposure & Risk Assessment,2018, 35(10): 1911-1927. DOI:10.1080/19440049.2018.1488085.

[64] SKOG K, JÄGERSTAD M. Effects of monosaccharides and disaccharides on the formation of food mutagens in model systems[J].Mutation Research/Fundamental and Molecular Mechanisms of Mutagenesis, 1990, 230(2): 263-272. DOI:10.1016/0027-5107(90)90064-B.

[65] VIEGAS O, FILIPE AMARO L, FERREIRA I M P L V O, et al.Inhibitory effect of antioxidant-rich marinades on the formation of heterocyclic aromatic amines in pan-fried beef[J]. Journal of Agricultural and Food Chemistry, 2012, 60(24): 6235-6240.DOI:10.1021/jf302227b.

[66] GAO H H, HOU N C, GAO X, et al. Interaction between Chinese quince fruit proanthocyanidins and bovine serum albumin: antioxidant activity, thermal stability and heterocyclic amine inhibition[J].International Journal of Biological Macromolecules, 2023, 238:124046. DOI:10.1016/j.ijbiomac.2023.124046.

[67] WAN X, LI D Y, LU J Y, et al. The construction of garlic diallyl disulfide nano-emulsions and their effect on the physicochemical properties and heterocyclic aromatic amines formation in roasted pork[J]. Food Chemistry, 2023, 408: 135159. DOI:10.1016/j.foodchem.2022.135159.

[68] ZHANG N N, ZHOU Q, ZHAO Y L, et al. Chitosan and flavonoid glycosides are promising combination partners for enhanced inhibition of heterocyclic amine formation in roast beef[J]. Food Chemistry,2022, 375: 131859. DOI:10.1016/j.foodchem.2021.131859.

[69] XUE T, JIANG Q Q, XIANG L W, et al. Effect of chemical modification of κ-carrageenan on its inhibitory effect against heterocyclic amine (HAs) formation in roasted tilapia fish patties[J].International Journal of Biological Macromolecules, 2023, 253:126586. DOI:10.1016/j.ijbiomac.2023.126586.

Research Progress on the Inhibitory Effect of Plant-Derived Extracts on Heterocyclic Amines in Meat Products

MA Ziyue1, XIAN Yanping2, SHE Wenhai3, QIAN Min1, ZENG Xiaofang1, BAI Weidong1, DONG Hao1,*
(1. College of Light Industry and Food, Zhongkai University of Agriculture and Engineering, Guangzhou 510225, China;2. Guangzhou Quality Supervision and Testing Institute, Guangzhou 511447, China;3. Guangzhou Lushi Food Co. Ltd., Guangzhou 510820, China)

Abstract: Heterocyclic amines are a class of hazardous substances produced during the thermal processing of foods, which have strong carcinogenicity and mutagenicity. They are mainly produced in protein-rich foods particularly meat products.Therefore, the reduction and control of heterocyclic amines in meat products have attracted increasing attention from researchers. Adding specific plant-derived extracts during meat processing is an effective means of inhibiting the formation of heterocyclic amines. However, plant-derived extracts are diverse in type, composition and function and are rich in natural compounds. Moreover, their impact on the generation of heterocyclic amines in meat products is complex. In view of this,this article introduces the formation mechanism and harms of heterocyclic amines, focusing on the effects of four plantderived extracts, including fruits, vegetables, spices, and Chinese herbs, on the generation of heterocyclic amines in meat products. It also highlights the synergistic inhibition of heterocyclic amine generation by combinations of plant-derived extracts providing a theoretical basis for research on the inhibition of heterocyclic amines and the application of plantderived extracts in meat products.

Keywords: plant-derived extracts; meat products; heterocyclic amines; inhibitory action

DOI: 10.7506/rlyj1001-8123-20250216-047

中图分类号:TS251.5

文献标志码:A

文章编号:1001-8123(2026)01-0097-08

引文格式:

马子越, 冼燕萍, 佘文海, 等. 植物源提取物对肉制品中杂环胺抑制作用研究进展[J]. 肉类研究, 2026, 40(1): 97-104.DOI:10.7506/rlyj1001-8123-20250216-047. http://www.rlyj.net.cn

MA Ziyue, XIAN Yanping, SHE Wenhai, et al. Research progress on the inhibitory effect of plant-derived extracts on heterocyclic amines in meat products[J]. Meat Research, 2026, 40(1): 97-104. DOI:10.7506/rlyj1001-8123-20250216-047.http://www.rlyj.net.cn

收稿日期:2025-02-16

第一作者简介:马子越(2001—)(ORCID: 0009-0003-4522-7903),女,硕士研究生,研究方向为食品加工与安全。E-mail: mzy6294983@163.com

*通信作者简介:董浩(1989—)(ORCID: 0000-0001-7611-3341),男,副教授,博士,研究方向为食品加工与质量安全控制、食品真实性与产地溯源。E-mail: 516410953@163.com