呼伦贝尔草原短尾羊股二头肌和背最长肌常规营养素特征

苏 贞1,吴志华2,伊 兰3,朱思嘉1,谷 雨1,郭 军1,*

(1.内蒙古农业大学食品科学与工程学院,内蒙古 呼和浩特 010018;2.鄂温克族自治区巴彦托海镇农牧业技术推广服务中心,内蒙古 呼伦贝尔 021199;3.鄂温克旗巴彦塔拉达斡尔民族乡农牧业技术推广服务中心,内蒙古 呼伦贝尔 021117)

摘 要:采集呼伦贝尔草原短尾羊以及其他地区(鄂尔多斯、阿拉善、宁夏、榆林)绵羊和山羊股二头肌和背最长肌214 份,测定4 种常规营养素(水分、灰分、脂肪和蛋白质)并进行描述性统计和聚类分析。结果表明,草原短尾羊肌肉水分、蛋白质、脂肪和灰分质量分数分别为(75.86±2.96)%、(20.88±2.90)%、(2.91±2.26)%和(1.65±0.78)%,水分含量低于GB 18394—2020《畜禽肉水分限量》规定的羊肉水分限值(≤78%)。辉苏木湿地和伊敏苏木草原森林交错区绵羊肌肉样本水分含量显著高于锡尼河东苏木地区(P<0.05、P<0.01),肌间脂肪含量则极显著低于锡尼河东苏木地区(P<0.01);羔羊水分含量极显著高于成年羊(P<0.01),灰分和蛋白质含量极显著低于成年羊(P<0.01)。草原短尾羊与呼伦贝尔其他品种羊相比,蛋白质含量无显著差异(P>0.05),肌间脂肪含量显著高于本地山羊(P<0.05)。除宁夏外,呼伦贝尔绵羊肌肉水分含量显著高于其他地区绵羊肌肉样本(P<0.05),而肌间脂肪含量显著低于鄂尔多斯和阿拉善绵羊肌肉样本(P<0.05)。聚类分析结果显示,不同地区绵羊肌肉样本有聚类分离趋势,说明营养素模式不同,对样本分离贡献由大到小依次为水分、灰分、脂肪和蛋白质。综上,草原短尾羊肌肉常规营养素模式存在地区和品种差异。

关键词:呼伦贝尔草原短尾羊;常规营养素;描述性统计;聚类分析

草原短尾羊是适应呼伦贝尔草原自然地理和气候条件的新选育肉羊品种,2020年12月31日经农业农村部第381号公告正式认定为肉羊新品种。该品种填补了我国北方高寒地区短脂尾型绵羊品种的空白,主要分布在鄂温克族自治旗及周边牧业旗[1-2]。草原短尾羊品种特征明显,具有耐寒、耐粗饲、尾脂少和肉脂率高等优点[3],其必需氨基酸组成接近人体需求模式,且胆固醇含量较低[4]。除上述营养优势外,草原短尾羊在矿物质构成上同样值得关注。Liu Yujia等[5]发现草原短尾羊背最长肌中Zn和Cu含量显著高于内脏。刘美玲[6]发现草原短尾羊羔羊和成年羊常量元素指纹整体特征差异显著。在肌肉营养成分方面,Xu Xianli等[7]对茶卡羊不同部位肌肉营养成分进行了比较与评价。但目前关于呼伦贝尔草原短尾羊肌肉营养成分的研究存在样本量不足的问题,缺乏高参考价值的统计参数及基于大数据模型的系统性评价。

股二头肌(biceps femoris)和背最长肌(longissimus dorsi)因其解剖位置明确、代谢特性互补,成为评估畜肉营养品质和标准化检测的核心采样部位,二者的平均值数据可代表肌肉常规营养素的整体水平[8]。水分、灰分、脂肪和蛋白质含量是评价绵羊肌肉营养价值的基础指标[9]。肌肉水分含量直接影响肉品多汁性;灰分含量反映矿物质和微量元素水平[10],与饲养过程中盐分摄入及加工工艺(如盐水注射)有关[11];脂肪含量决定肉品营养价值与食用品质,肌间脂肪含量增加能够提升风味、嫩度和多汁性[12];蛋白质作为反刍动物关键营养成分,是维持生命活动的重要物质基础[13]。对这些常规营养成分进行综合分析,尤其是借助多元统计方法,能够有效揭示不同畜产品间的特征差异和分类关系。刘雨佳等[14]对3 种家畜乳常规营养素进行主成分分析(principal component analysis,PCA)发现,3 种家畜乳单独聚类明显,叶乐等[15]基于PCA发现,蒙古马乳与牛乳和山羊乳的常规营养素特征差异较大。然而,目前对绵羊肌肉常规营养素进行聚类分析的报道较少,本研究拟采用描述性统计和聚类分析法,系统评价草地类型、性别、年龄、解剖部位、品系及东西部地区差异对草原短尾羊肌肉常规营养素的影响。同时,基于PCA和正交偏最小二乘判别分析(orthogonal partial least squares-discriminant analysis,OPLS-DA)揭示羊肉营养素组成的自然聚类特征及地域差异性,旨在建立草原短尾羊常规营养素参数体系,为其营养成分数据库建设及相关标准修订提供有价值的参考。

1 材料与方法

1.1 材料

从宰后绵羊和山羊胴体上采集背最长肌和股二头肌样品,共计214 份(表1)。其中,草原短尾羊股二头肌和背最长肌样品66 份(表2)。采集时间为2023年8月下旬—11月,样品于-20 ℃冰箱冻藏。

表1 草原短尾羊、山羊及其他地区绵羊肌肉样品信息
Table 1 Muscle sample information of grassland short-tailed sheep,goats and sheeps in other regions

注:羔羊月龄或成年羊年龄=∑(月龄或年龄×样本量)/总样本量;—.未采集样品,表2同。

?

表2 草原短尾羊肌肉样品信息
Table 2 Muscle sample information of grassland short-tailed sheep

?

1.2 仪器与设备

SOX606索氏提取仪、K9860全自动凯氏定氮仪、SH420F石墨消解仪 山东海能科学仪器有限公司;AAF1100马弗炉 弗尔德莱驰上海贸易有限公司;QE-250高速粉碎机 浙江屹立工贸有限公司;AL204万分之一电子天平 瑞士Mettler Toledo公司。

1.3 方法

1.3.1 样品制备

在冷冻状态下剔除肌肉中的脂肪和筋膜,切成约1 cm3的肉丁,于保温桶内加入液氮翻炒后,利用粉碎机粉碎,转移至样品瓶中,充氮密封并冷冻保存备用。

1.3.2 营养素组成测定

水分含量按照GB 5009.3—2016《食品安全国家标准 食品中水分的测定》[16]中的直接干燥法测定;灰分含量按照GB 5009.4—2016《食品安全国家标准 食品中灰分的测定》[17]第一法测定;蛋白质含量按照GB 5009.5—2016《食品安全国家标准 食品中蛋白质的测定》[18]第一法测定,氮-蛋白质换算系数为6.25;脂肪含量按照GB 5009.6—2016《食品安全国家标准 食品中脂肪的测定》[19]第一法测定。

1.4 数据处理

使用IBM SPSS 20.0软件对数据进行描述性统计,并对各分类进行单因素方差分析和独立样本t检验,结果以±2s表示,采用Duncan法进行多重比较,P<0.05表示差异显著,P<0.01表示差异极显著;数据分布特征通过Origin 2021软件绘制的箱式图展示。进一步使用SIMCA 14.1软件进行聚类分析,直观呈现营养素整体模式差异,并筛选对差异贡献较大的营养素。具体地,通过PCA进行无监督模式的聚类分析,探究样本基于常规营养素的自然聚类特征;采用OPLS-DA进行有监督的聚类分析,筛选对组间分离贡献显著的关键营养素。

本研究各分类样本量充分,在预测定基础上,每个样品各营养素平行测定2 次。测定每批次样品蛋白质和脂肪时均加入质控物质,测定值符合标定值范围。各营养素值进行正态性和箱式图检验,异常值、界外值和极值均再一次进行重复测定和验证。

2 结果与分析

2.1 呼伦贝尔草原短尾羊肌肉常规营养素含量

2.1.1 不同地区草原短尾羊肌肉常规营养素含量

由表3和图1可知,草原短尾羊肌肉水分、蛋白质、脂肪和灰分质量分数分别为(75.86±2.96)%、(2 0.8 8±2.9 0)%、(2.9 1±2.2 6)%和(1.65±0.78)%,其中,水分含量低于GB 18394—2020《畜禽肉水分限量》[20]规定的限值(≤78%)。除蛋白质外,4 个苏木地区草原短尾羊肌肉水分、灰分和脂肪含量均存在显著差异。其中,伊敏苏木和辉苏木羊肉水分含量显著高于锡尼河东苏木(P<0.01、P<0.05),这可能与湿地草原交错带的生态环境有关。产于锡尼河东苏木的草原短尾羊肌间脂肪含量显著高于其他地区(P<0.05、P<0.01),且灰分显著高于辉苏木(P<0.05)。不同地理区域饲养的同一品种绵羊肉营养成分存在显著差异。例如,甘肃6 个地区的小尾寒羊羊肉在常规营养素方面表现出显著差异[21]。此外,中拉毛草等[22]研究发现,甘南藏羊肉蛋白质含量显著高于海北藏羊肉,这进一步佐证了这一观点。本研究结果与上述研究结果一致,再次强调了地理环境对绵羊肉营养品质具有显著影响。

图1 4 个地区草原短尾羊肌肉常规营养素含量箱式图
Fig. 1 Boxplots of proximate nutrient contents of grassland short-tailed sheep muscles in different regions of Hulunbuir

红色虚线为GB 18394—2020[20]规定的限值(≤78%);蓝色虚线为《中国食物成分表标准版》[9]提出的羊肉营养素含量代表值;*.差异显著(P<0.05),**.差异极显著(P<0.01)。图2同。

表3 4 个地区草原短尾羊肌肉常规营养素含量描述性统计比较
Table 3 Descriptive statistics and comparison of proximate nutrients of grassland short-tailed sheep muscles in different regions of Hulunbuir

注:同列小写字母不同表示不同地区间差异显著(P<0.05)。表6同。

?

2.1.2 不同性别草原短尾羊肌肉常规营养素含量

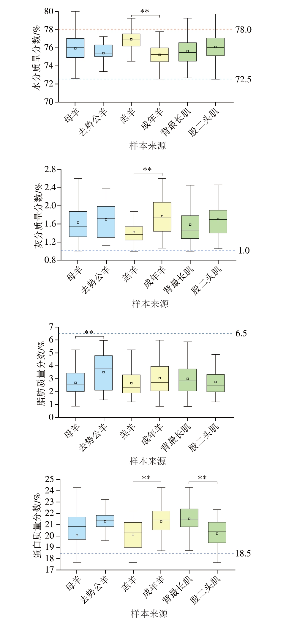
由表4和图2可知,去势公羊肌间脂肪质量分数为(3.53±3.04)%,极显著高于母羊(P<0.01),水分、灰分和蛋白质含量无显著差异。羊肉的营养消化率受性别影响[23],康生萍等[24]研究表明,性别对青海黑藏羊背最长肌常规营养成分无显著影响,但去势公羊粗脂肪含量高于母羊,师帅[25]研究也发现,公羊肉粗脂肪含量显著高于母羊。本研究中母羊肌间脂肪含量低于去势公羊,可能与母羊代谢负荷较大且内分泌更活跃有关,去势公羊缺乏睾酮等性激素对脂肪分解的促进作用,因此更易形成肌内脂肪积累。

图2 不同性别、年龄、部位草原短尾羊肌肉常规营养素含量箱式图
Fig. 2 Boxplots showing the effects of sex, age and anatomical location on proximate nutrient contents of grassland short-tailed sheep muscles

表4 不同性别、年龄、部位草原短尾羊肌肉常规营养素含量
Table 4 Proximate nutrient contents of grassland short-tailed sheep muscles of different sex, age and anatomical location

注:同行小写字母不同表示不同性别、年龄或部位组间差异显著(P<0.05)。

?

2.1.3 不同年龄草原短尾羊肌肉常规营养素含量

由表4 和图2 可知,羔羊肌肉水分质量分数为(7 6.9 6±2.4 5)%,成年羊水分质量分数为(75.21±2.43)%,两者差异极显著(P<0.01);而羔羊肌肉灰分和蛋白质含量均极显著的低于成年羊(P<0.01)。这符合羔羊和成年羊肌肉营养成分的生理差异,屠宰年龄对羊肉肉质有显著影响[26]。羊肉嫩度受年龄影响较大,但从出生到1 岁变化较小,羊性成熟后,随着年龄的增长,肌内脂肪增加速率减慢,肌纤维明显变硬,嫩度不及羔羊[27];羊肉蛋白质含量随年龄增长逐渐升高[28],张立等[29]研究发现,48 月龄岗巴羊肉蛋白质含量显著高于6 月龄和18 月龄,Malva等[30]则发现随着年龄的增长,羔羊肌间脂肪含量逐渐升高。虽然羔羊肉口感相对较嫩,但从营养素密度角度考量,羔羊肉营养价值仍低于成羊。

2.1.4 不同解剖部位草原短尾羊肌肉常规营养素含量

由表4和图2可知,草原短尾羊背最长肌蛋白质量分数为(21.53±2.67)%,股二头肌蛋白质量分数为(20.21±2.51)%,两者差异极显著(P<0.01),其他营养素含量差异不显著(P>0.05)。研究[31]表明,家畜肉蛋白质和脂肪含量在不同类型肌肉中存在显著差异。张志超等[32]研究发现,呼伦贝尔大尾羊背最长肌(背部)脂肪含量极显著高于股四头肌(后座),可能与绵羊腿部运动量大于背部有关。

2.2 呼伦贝尔草原短尾羊与本地区其他品种绵羊和山羊肌肉常规营养素含量比较

由表5可知,鄂温克绵羊肌间脂肪含量显著高于鄂温克山羊(P<0.05)。草原短尾羊肌肉水分含量显著高于本地萨福克羊(P<0.05),灰分含量显著低于陈巴尔虎旗和新巴尔虎右旗绵羊(P<0.05),肌间脂肪和蛋白质含量无显著差异,但蛋白质含量普遍高于寒羊和其他品种绵羊。研究[33]显示,绵羊板油脂肪含量显著高于山羊,这与本研究结果相似,可能与山羊更活跃、运动量更大有关。草原短尾羊肌肉水分、灰分和蛋白质含量高于文献[34]报道的天华肉羊和甘肃高山细毛羊,肌间脂肪含量高于天华肉羊但低于甘肃高山细毛羊,与《中国食物成分表标准版》[9]中羊肉营养素含量代表值相比较,草原短尾羊水分、灰分、蛋白质含量较高,肌间脂肪含量较低,说明其具有良好的蛋白质沉积效率,是肉类蛋白质的良好来源。

表5 草原短尾羊与本地区其他品种绵羊及山羊肉常规营养素含量比较
Table 5 Comparison of proximate nutrient contents in muscles of grassland short-tailed sheep, other sheep breeds and goats in Hulunbuir

注:同行小写字母不同表示组间差异显著(P<0.05)。

?

2.3 呼伦贝尔草原短尾羊与其他地区绵羊肌肉常规营养素含量比较

2.3.1 描述性统计分析

由表6可知,呼伦贝尔地区羊肉水分质量分数为(75.53±3.58)%,低于GB 18394—2020[20]规定的羊肉水分限值(≤78%),且显著高于鄂尔多斯、阿拉善盟、榆林地区羊肉(P<0.05),可能与呼伦贝尔地区全年放牧,牧草水分含量高有关。呼伦贝尔地区羊肉蛋白质含量显著高于榆林羊肉肌肉样本(P<0.05),而肌间脂肪显著低于鄂尔多斯和阿拉善羊肉肌肉样本(P<0.05)。榆林地区羊肉灰分含量显著高于其他地区,值得深入研究。宁夏舍饲滩羊肉水分含量也较高,与呼伦贝尔地区羊肉水分含量无显著差异(P>0.05),其蛋白质含量显著高于其他地区(P<0.05)。水分作为动物机体的重要组成成分,其含量特征直接影响肉品品质,可作为判断肉品品质的关键参数[35-36]。王泽栋[37]对比呼伦贝尔、巴彦淖尔和锡林郭勒3 个地区羊肉常规营养素发现,呼伦贝尔地区羊肉水分含量显著高于其他2 个地区,与本研究结果一致,表明呼伦贝尔地区绵羊肉质相对较嫩。

表6 呼伦贝尔市与其他地区绵羊肌肉常规营养素含量描述性统计比较
Table 6 Descriptive statistical comparison of proximate nutrients of sheep muscle samples from Hulunbuir and other regions

?

续表6

?

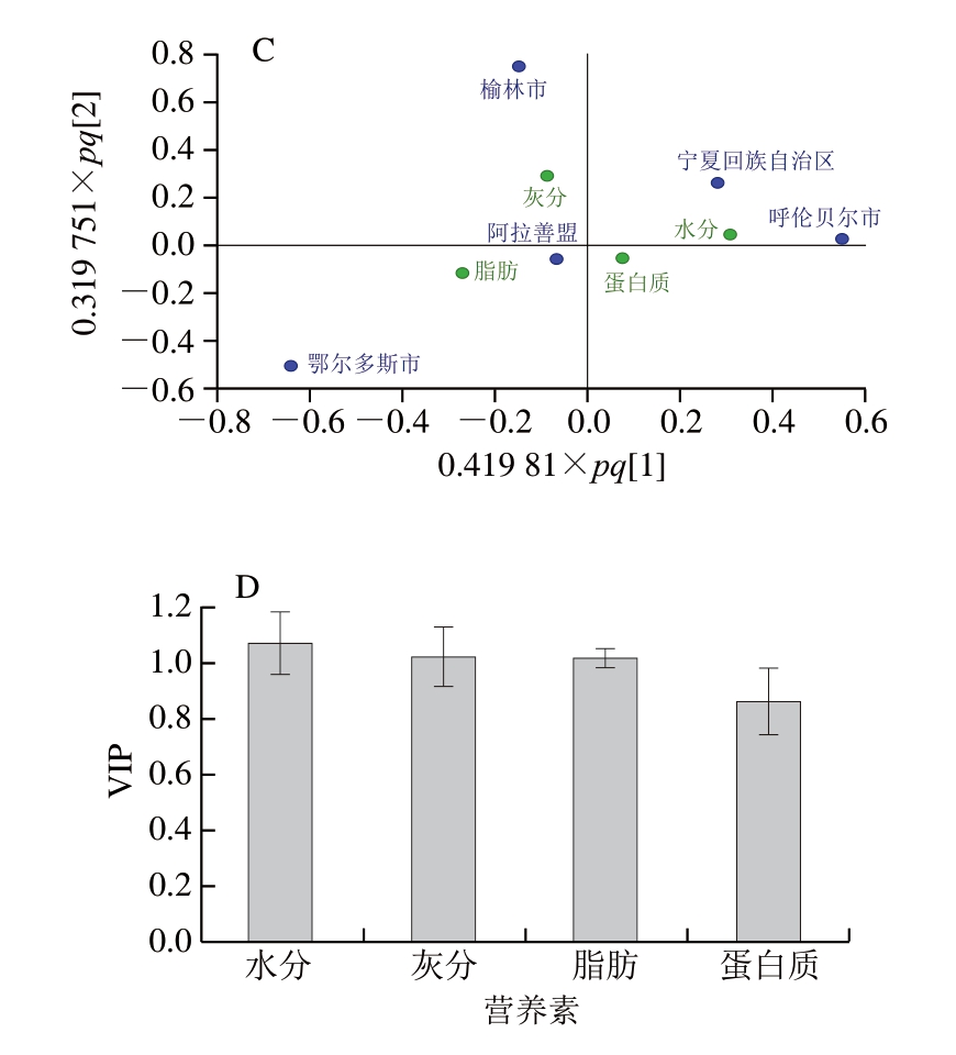
2.3.2 PCA和OPLS-DA

PCA和OPLS-DA得分图(图3A、B)均显示5 个地区绵羊肌肉样本存在部分重叠,但整体呈现聚类分离趋势,呼伦贝尔地区绵羊肌肉样品大部分位于纵轴右侧,除宁夏外,其余几个西部地区绵羊肌肉样品位于纵轴左侧,榆林地区绵羊肌肉样本整体向左上聚类,鄂尔多斯地区绵羊肌肉样本向左下聚类,说明5 个地区4 种营养素模式有所不同。由图3C可知,呼伦贝尔地区绵羊肌肉样本聚类分离的关键营养素为水分,鄂尔多斯绵羊肌肉特征营养素为脂肪,榆林绵羊肌肉特征营养素为灰分,宁夏绵羊肌肉特征营养素为蛋白质。

图3 呼伦贝尔市与其他地区绵羊肌肉常规营养PCA和OPLS-DA结果图
Fig. 3 Principal component analysis and orthogonal partial least squares-discriminant analysis plots showing variations in proximate nutrients of sheep muscle samples from Hulunbuir and other regions

A. PCA得分图;B. OPLS-DA得分图;C. OPLS-DA载荷图;D.变量投影重要性(variable importance in projection,VIP)图。

VIP值可反映常规营养素对模型分类的贡献程度[38]。由图3D可知,对样本聚类分离贡献由大到小依次为水分、灰分、脂肪和蛋白质。多元统计结果可将5 个地区绵羊肌肉特征常规营养素进行可视化展示,并提示以绵羊肌肉常规营养素指纹建立不同地区绵羊肉判别模型可行,但模型不够稳定。目前,绵羊肉产地溯源研究主要集中于矿物质、稳定同位素、DNA、脂肪酸和气味物质等方面[39],后续可考虑结合常规营养素和其他指标进行判别,以期获得分离效果更好、更稳定的模型。

3 结 论

草原短尾羊肌肉水分、蛋白质、脂肪和灰分质量分数分别为(75.86±2.96)%、(20.88±2.90)%、(2.91±2.26)%和(1.65±0.78)%,性别(去势公羊与母羊)、肌肉解剖部位及生长发育阶段(羔羊与成年羊)均对其肌肉常规营养素分布特征存在影响。从营养素密度来说,羔羊肉营养价值低于成羊。聚类分析结果显示不同地区绵羊肌肉样本有聚类分离趋势,呼伦贝尔地区绵羊肌肉水分含量较高。草原短尾羊肌肉水分、灰分和蛋白质含量较高,肌间脂肪含量适宜,具有较高的开发利用价值。本研究系统评价了呼伦贝尔草原短尾羊常规营养素,可为生产、科研、地区食物成分数据库及相关标准的制修订提供参考。

参考文献:

[1] 农业农村部. 农业农村部公告 第381号[EB/OL]. (2020-12-31). http://www.moa.gov.cn/govpublic/nybzzj1/202101/t20210108_6359658.htm.

[2] 内蒙古自治区市场监督管理局. 草原短尾羊:DB15/T 1466—2018[S]. 呼和浩特:内蒙古自治区市场监督管理局, 2018.

[3] 罗保华, 王景顺, 白晨, 等. 草原短尾羊[J]. 畜牧兽医科技信息, 2022,5(5):12-14. DOI:10.3969/j.issn.1671-6027.2022.05.005.

[4] 刘莉敏, 郭军, 杨春雪, 等. 呼伦贝尔羊短尾品系不同部位肉营养成分的测定和评价[J]. 中国食物与营养, 2016, 22(8):63-67.DOI:10.3969/j.issn.1006-9577.2016.08.015.

[5] LIU Y J, YANG F Y, LIU X Q, et al. Mineral characteristics of viscera of Hulunbuir grassland short-tailed sheep from Inner Mongolia,China[J]. Journal of Food Composition and Analysis, 2023, 118:1-14.DOI:10.1016/j.jfca.2023.105161.

[6] 刘美玲. 内蒙古绵羊肉常量与微量矿物质元素指纹特征初探[D].呼和浩特:内蒙古农业大学, 2017:23-30.

[7] XU X L, GUO T Q, ZHANG Q, et al. Comparative evaluation of the nutrient composition and lipidomic profile of different parts of muscle in the Chaka sheep[J]. Food Science of Animal Resources, 2024,44(6):1305-1326. DOI:10.5851/kosfa.2024.E47.

[8] 周力, 陈渲, 吴振岭, 等. 藏羊不同解剖部位肌肉营养成分的比较[J]. 四川农业大学学报, 2023, 41(5):906-934. DOI:10.16036/j.issn.1000-2650. 202305237.

[9] 杨月欣, 王竹, 何梅, 等. 中国食物成分表标准版[M]. 北京:北京大学医学出版社, 2019:199-200.

[10] LU S Y, PAENGKOUM S, CHEN S C, et al. Effects of black soldier fly larvae (Hermetia illucens L.) as feed supplements on muscle nutrient composition, meat quality, and antioxidant capacity in Qianbei goat[J]. Animal Bioscience, 2024, 37(12):2167-2177. DOI:10.5713/AB.24.0173.

[11] 杜垒. 盐水鸭老卤腌制特性与传质动力学分析[D]. 南京:南京农业大学, 2010:34-74.

[12] HAUSMAN G J, URMILA B, DU M, et al. Intermuscular and intramuscular adipose tissues:bad vs. good adipose tissues[J].Adipocyte, 2014, 3(4):242-255. DOI:10.4161/adip.28546.

[13] 朱秀清, 韩田露, 刘纪元, 等. 大豆蛋白淀粉样纤维制备、功能特性及应用研究进展[J]. 食品科学, 2024, 69(2):1-14. DOI:10.7506/spkx1002-6630-20240527-220.

[14] 刘雨佳, 叶乐, 鲍志英, 等. 双峰驼乳营养成分测定与特征分析[J]. 食品与发酵工业, 2023, 49(2):251-256. DOI:10.13995/j.cnki.11-1802/ts.030255.

[15] 叶乐, 王越男, 刘雨佳, 等. 蒙古马乳营养成分检测与特征分析[J]. 中国乳品工业, 2022, 50(10):23-29. DOI:10.19827/j.issn1001-2230.2022.10.003.

[16] 国家卫生和计划生育委员会. 食品安全国家标准 食品中水分的测定:GB 5009.3—2016[S]. 北京:中国标准出版社, 2016.

[17] 国家卫生和计划生育委员会. 食品安全国家标准 食品中灰分的测定:GB 5009.4—2016[S]. 北京:中国标准出版社, 2016.

[18] 国家卫生和计划生育委员会, 国家食品药品监督管理总局. 食品安全国家标准 食品中蛋白质的测定:GB 5009.5—2016[S]. 北京:中国标准出版社, 2016.

[19] 国家卫生和计划生育委员会, 国家食品药品监督管理总局. 食品安全国家标准 食品中脂肪的测定:GB 5009.6—2016[S]. 北京:中国标准出版社, 2016.

[20] 国家标准化管理委员会, 国家市场监督管理总局. 畜禽肉水分限量:GB 18394—2020[S]. 北京:中国标准出版社, 2020.

[21] 张新中, 张菁菁, 苗茜, 等. 甘肃不同草地类型下羊肉品质分析与评价[J]. 食品安全质量检测学报, 2023, 14(18):279-287.DOI:10.19812/j.cnki.jfsq11-5956/ts.2023.18.033.

[22] 中拉毛草, 周佳, 江春德, 等. 甘南藏羊和海北藏羊肉品质比较研究[J]. 肉类研究, 2023, 37(9):14-20. DOI:10.7506/rlyj1001-8123-20230711-069.

[23] LATIFAH, MAHARANI D, HARTATIK T, et al. The effect of sex on nutritional status of post-weaned Bligon goats under controlled feeding management[J]. IOP Conference Series:Earth and Environmental Science, 2019, 387:012057. DOI:10.1088/1755-1315/387/1/012057.

[24] 康生萍, 胡林勇, 王循刚, 等. 不同性别放牧青海黑藏羊的肉品质特征分析[J]. 西北农业学报, 2021, 30(2):183-191. DOI:10.7606/j.issn.1004-1389.2021.02.004.

[25] 师帅. 年龄和性别对新疆柯尔克孜羊肉品质特性的影响研究[D].乌鲁木齐:新疆农业大学, 2016:14-22. DOI:10.7666/d.Y3265833.

[26] LEE S H, KIM H Y. Analyses of the physicochemical and sensory characteristics of black goat triceps brachii muscle based on slaughter age[J]. Food Chemistry:X, 2024, 24:101905. DOI:10.1016/j.fochx.2024.101905.

[27] LIU Y N, LI R H, YING Y, et al. Non-genetic factors affecting the meat quality and flavor of Inner Mongolian lambs:a review[J].Frontiers in Veterinary Science, 2022, 9:1067880. DOI:10.3389/fvets.2022.1067880.

[28] 王维婷, 周萌, 杜鹏飞, 等. 不同月龄莱芜黑山羊屠宰性能及肉质比较研究[J]. 肉类研究, 2022, 36(5):21-28. DOI:10.7506/rlyj1001-8123-20220311-015.

[29] 张立, 德庆卓嘎, 洛桑催成, 等. 不同月龄岗巴羊肉品质、营养成分及风味前体物质的比较分析[J]. 动物营养学报, 2023, 35(11):7284-7293. DOI:10.12418/cjan2023.663.

[30] MALVA A D, ALBENZIO M, CHIARICO A G, et al. Relationship between slaughtering age, nutritional and organoleptic properties of Altamurana lamb meat[J]. Small Ruminant Research. 2016, 135:39-45. DOI:10.1016/j.smallrumres.2015.12.020.

[31] TRIASIH D, KRISDIANI D, RIYANTO J, et al. The effect of different location of muscle on quality of frozen Simmental Ongole grade male meat[J]. IOP Conference Series:Earth and Environmental Science 2018, 119(1):012039. DOI:10.1088/1755-1315/119/1/012039.

[32] 张志超, 王小琪, 段子渊, 等. 呼伦贝尔大尾羊的年龄、性别及肌肉部位与其肉品质风味的关系研究[J]. 黑龙江畜牧兽医, 2020(20):51-56. DOI:10.13881/j.cnki.hljxmsy.2019.05.0037.

[33] 翟争妍, 朱新鹏, 涂翰卿, 等. 绵羊脂与山羊脂品质特性差异分析[J].中国油脂, 2023, 48(2):17-24. DOI:10.19902/j.cnki.zgyz.1003-7969.210807.

[34] 刘占经, 栗登攀, 马友记. 天华肉羊与甘肃高山细毛羊的屠宰性能和肉品质比较[J]. 中国草食动物科学, 2024, 44(4):39-44.DOI:10.3969/j.issn.2095-3887.2024.00.062.

[35] 陈安琪, 杨春彦, 董丙强, 等. 家禽肉品质评价指标及其影响因素研究进展[J]. 东北农业大学学报, 2024, 55(5):90-100. DOI:10.19720/j.cnki.issn.1005-9369.2024.05.009.

[36] SAMUEL D, TRABELSI T. Influence of color on dielectric properties of marinated poultry breast meat[J]. Poultry Science, 2012, 91(8):2011-2016. DOI:10.3382/ps.2011-01837.

[37] 王泽栋. 不同地区肉羊营养成分和风味特性差异性研究[D].呼和浩特:内蒙古农业大学, 2021:16-18. DOI:10.27229/d.cnki.gnmnu.2021.000895.

[38] ANGRLA M, MARILENA M, MASSIMILIANO R, et al. Volatile fingerprint of unroasted and roasted cocoa beans (Theobroma cacao L.)from different geographical origins[J]. Food Research International,2020, 132:109101. DOI:10.1016/j.foodres.2020.109101.

[39] WANG Q, LIU H J, BAI Y, et al. Research progress on mutton origin tracing and authenticity[J]. Food Chemistry, 2022, 373:131387.DOI:10.1016/j.foodchem.2021.131387.

Proximate Nutrient Characteristics of Biceps femoris and Longissimus dorsi Muscles of Hulunbuir Grassland Short-Tailed Sheep

SU Zhen1, WU Zhihua2, YI Lan3, ZHU Sijia1, GU Yu1, GUO Jun1,*
(1. School of Food Science and Engineering, Inner Mongolia Agricultural University, Hohhot 010018, China;2. Agricultural and Animal Husbandry Technology Extension Service Center of Bayantohai Town, Evenki Autonomous Region,Hulunbuir 021199, China; 3. Agricultural and Animal Husbandry Technology Extension Service Center of Bayantala Daur Ethnic Town, Evenki Banner, Hulunbuir 021117, China)

Abstract:A total of 214 samples of the biceps femoris and longissimus dorsi muscles of Hulunbuir grassland short-tailed sheep as well as sheep and goats from the other regions of Ordos, Alxa, Ningxia and Yulin were collected for determination of proximate nutrients (moisture, ash, fat and protein) and descriptive statistics and cluster analysis were conducted. Results showed the moisture, protein, fat and ash contents in the muscles of grassland short-tailed sheep were (75.86 ± 2.96)%, (20.88 ± 2.90)%,(2.91 ± 2.26)%, and (1.65 ± 0.78)%, respectively. The moisture content was lower than the limit (≤ 78%) stipulated by the Chinese national standard Permitted level of moisture in meat of livestock and poultry (GB 18394-2020). The muscles of sheep in the Hui Sumu wetland and the Yimin Sumu grassland-forest ecotone showed significantly higher moisture contents(P < 0.05 and P < 0.01, respectively) but lower intermuscular fat contents (P < 0.01) than did those in East Sumu of the Sini River. Moisture content was significantly higher (P < 0.01) and ash and protein contents were significantly lower(P < 0.01) in the muscles of lambs than adult sheep (P < 0.01). The muscles of grassland short-tailed sheep showed no significant difference in protein content compared with other breeds in Hulunbuir (P > 0.05), but significantly higher intermuscular fat content compared with local goats (P < 0.05). The muscles of sheep in Hulunbuir exhibited significantly higher moisture content than did those in all other regions except Ningxia (P < 0.05) but significantly lower intermuscular fat content than did those in Ordos and Alxa (P < 0.05). Cluster analysis showed a clear separation among sheep muscle samples from different regions, indicating differences in nutrient composition. The contributions of nutrients to the separation decreased in the order of moisture > ash > fat > protein. In summary, there are regional and breed differences in the proximate nutrient composition of grassland short-tailed sheep muscles.

Keywords:Hulunbuir grassland short-tailed sheep; proximate nutrients; descriptive statistics; cluster analysis

收稿日期:2024-12-31

基金项目:内蒙古自治区教育厅一流学科科研专项(YLXKZX-NND-015);鄂温克自治区农牧和科技局项目(鄂财字[2022]42号)

第一作者简介:苏贞(2000—)(ORCID:0009-0003-1365-6420),女,硕士研究生,研究方向为营养与食品安全。E-mail:2451440690@qq.com

*通信作者简介:郭军(1969—)(ORCID:0000-0002-3964-7755),男,教授,博士,研究方向为营养与食品安全。E-mail:guojunge@imau.edu.cn

DOI:10.7506/rlyj1001-8123-20241231-354

中图分类号:TS251.7

文献标志码:A

文章编号:1001-8123(2025)09-0001-07

引文格式:

苏贞, 吴志华, 伊兰, 等. 呼伦贝尔草原短尾羊股二头肌和背最长肌常规营养素特征[J]. 肉类研究, 2025, 39(9):1-7.DOI:10.7506/rlyj1001-8123-20241231-354. http://www.rlyj.net.cn

SU Zhen, WU Zhihua, YI Lan, et al. Proximate nutrient characteristics of biceps femoris and longissimus dorsi muscles of Hulunbuir grassland short-tailed sheep[J]. Meat Research, 2025, 39(9):1-7. (in Chinese with English abstract) DOI:10.7506/rlyj1001-8123-20241231-354. http://www.rlyj.net.cn