响应面法优化预调理火锅牛肉酶法嫩化工艺

张李智桐1,张佳敏1,*,王 卫1,刘达玉2,唐 杨2,王 柯3

(1.肉类加工四川省重点实验室,四川 成都 610106;2.成都大学食品与生物工程学院,四川 成都 610106;3.四川张飞牛肉有限公司,四川 阆中 610058)

摘 要:针对预调理火锅牛肉的嫩化工艺,采用木瓜蛋白酶和中性蛋白酶进行复配,研究2 种酶的复配比例、复合酶添加量及酶处理时间对牛肉持水力和硬度的影响。在单因素试验基础上,采用响应面优化设计对工艺条件进行优化,确定复配酶法嫩化最佳工艺条件为:木瓜蛋白酶和中性蛋白酶复配比例1∶1.19、复合酶添加量0.085%、酶处理时间3.1 h,在确定的最佳工艺条件下加工预调理火锅牛肉,并与常规产品对比,酶法嫩化后的牛肉持水力上升27%,肌原纤维小片化指数提升45%,胶原蛋白溶解度增加29%,剪切力降低29%,硬度降低69%,产品嫩度得到明显改善。

关键词:预调理;牛肉;酶法;嫩化工艺;响应面法

牛肉是火锅中的常用食材,不同部位的牛肉在食用品质及加工性能等方面有着较大差异[1-2],如里脊、眼肉、胸肉等肉质细嫩,适用于烧烤或炒制;肩胛肉肥瘦适中,牛肉风味浓郁,适用于涮、炖、烤、焖等;肉排、肋腹肉等脂肪较多,筋肉相连,肉汁丰富,适合于做成牛排;而颈肉、腿肉等肌肉纤维较粗,肉质较硬,一般用做碎肉或是用于炖、煮汤,价值也相对较低。随着近年来预调理食品的兴起,将牛肉原料经修割、切制、调味、腌制、嫩化等处理后制成的预调理火锅牛肉产品也越来越丰富,但这类产品在涮煮过程中往往存在肉质老、韧性大、煮制时间长等问题,影响其感官品质[3]。通过调理可改善牛肉感官品质,提升嫩度,开发系列方便火锅牛肉产品[4],以其食用方便、滋味鲜美、肉质鲜嫩等特点,尤其适应当前广大餐饮行业及家庭烹饪对美味、优质食材的需求[5],市场前景广阔。

嫩度是评价肉品品质的重要指标,也是消费者期待的指标之一[6-7]。目前提高肉品嫩度的方法主要有物理方法、生物方法和化学方法[8]。其中,利用蛋白酶对肉类原料进行嫩化是肉类嫩化的重要手段之一[9]。肉类常用的嫩化蛋白酶有木瓜蛋白酶[10-11]、中性蛋白酶[12-13]、菠萝蛋白酶[14]及猕猴桃蛋白酶[15-16]。通过前期的实验筛选,针对预调理火锅牛肉的嫩化,本研究选择以中性蛋白酶和木瓜蛋白酶作为嫩化酶,以硬度和持水力作为主要考察指标研究其嫩化效果[17],并通过响应面分析确定中性蛋白酶和木瓜蛋白酶最佳复配比例及嫩化条件,为预调理牛肉的工业化加工提供理论依据。

1 材料与方法

1.1 材料与试剂

牛后腿肉 四川张飞牛肉有限公司。

木瓜蛋白酶(105 U/g) 南宁庞博生物工程有限公司;胰蛋白酶(105 U/g) 和氏璧生物科技公司;硫酸、氯化钾、石油醚、磷酸氢二钾、磷酸二氢钾、氯胺T、盐酸、叠氮化钠(均为分析纯) 成都科隆化学品有限公司。

1.2 仪器与设备

BFBJ-70L制冷搅拌按摩机 嘉兴艾博实业有限公司;WR-40LR快速水分测定仪 武汉正元环境科技股份有限公司;TA.XT Plus质构仪 英国Stable Micro Systems公司;HWS-12-5电热恒温水浴锅 上海一恒实业有限公司;TG-15M冷冻离心机 济南爱来宝医疗科技有限公司;SXT-06索氏抽提器 上海洪纪仪器设备有限公司。

1.3 方法

1.3.1 预调理牛肉制作工艺

将牛后腿肉剔除表面筋腱,顺着肌肉纤维方向分割为5 cm宽的长条;将分割好的肉条置于滚揉机中,依次按比例加入腌料和酶,于4 ℃条件下滚揉20 min;滚揉结束后取出牛肉条,再在4 ℃条件静置嫩化。腌料配方为:纯净水8.0%、白砂糖1.2%、食盐0.8%、复合磷酸盐0.5%、味精0.1%。

1.3.2 单因素试验

将中性蛋白酶和木瓜蛋白酶复配后,加入磷酸盐缓冲液稀释到1 800 U/mL,在25 ℃条件下活化30 min备用。在腌制环节加入活化后的复合蛋白酶液进行嫩化处理,以持水力和硬度为评价指标,研究复合酶复配比例(体积比)、复合酶添加量及酶处理时间3 个单因素对牛肉性质的影响[18-19]。单因素试验设计如下:

复配比例设计:固定复合酶添加量0.06%,酶处理时间2 h,木瓜蛋白酶和中性蛋白酶复配比例分别为4∶1、2∶1、1∶1、1∶2、1∶4,测定牛肉的硬度和持水力。

复合酶添加量设计:固定复合酶的复配比例1∶1,酶处理时间2 h,分别添加0.04%、0.06%、0.08%、0.10%、0.12%的复合酶,测定牛肉的硬度和持水力。

酶处理时间设计:固定复合酶的复配比例1∶1,添加量0.06%,酶处理时间分别为1、2、3、4、5 h,测定牛肉的硬度和持水力。

1.3.3 响应面优化试验设计

在单因素试验结果的基础上,分析每个因素的最佳指标,再采用Box-Behnken试验设计对复合酶的复配比例、复合酶添加量及酶处理时间进行响应面优化,具体条件见表1。

表1 Box-Behnken试验设计因素与水平
Table 1 Code and level of independent variables used for Box-Behnken design

水平 A木瓜蛋白酶和中性蛋白酶复配比例C酶处理时间/h-1 2∶1 0.06 2 0 1∶1 0.08 3 1 1∶2 0.10 4 B复合酶添加量/%

1.3.4 持水力测定

肉品持水力使用离心法进行测定[20]。将处理后的牛肉剁成肉末,取一定量肉末测定其初始质量(m0),将肉末置于离心管中精确称质量(m1),在18 ℃条件下以8 000 r/min转速离心20 min,倒掉离心产生的水分,使用定量滤纸将管内及肉末表面水分擦干后称质量(m2),持水力按式(1)计算。

1.3.5 全质构剖面分析

使用质构仪对牛肉的硬度和剪切力进行测定,参考郭强[21]的方法。样品制备方法:将牛肉加工成3 cm×3 cm×3 cm的肉块,放入蒸煮袋中,再放入80 ℃的水浴锅,至牛肉块中心温度为70 ℃时取出,擦干水分,然后修割成1 cm×1 cm×1 cm的方形肉丁。牛肉硬度采用全质构分析(TPA)进行测定,参数设定为:探头型号P/36R,测试模式为压缩,测前速率2.00 mm/s,测中速率1.00 mm/s,测后速率10.00 mm/s,应变比50%,间隔时间10.0 s,触发力0.05 g,环境温度25 ℃,每组平行测定5 次,结果取平均值。剪切力测定参数设定为:探头型号HDP/BSW,测试模式为压缩,测前速率2.00 mm/s,测中速率1.00 mm/s,测后速率10.00 mm/s,选择终点目标的模式为探头位移25.00 mm,触发力0.2 g,每个肉样测定5 次,结果取平均值。

1.3.6 肌原纤维小片化指数(myofibril fragmentation index,MFI)测定

参考黄明等[22]的方法。按照11.2 mmol/L K2HPO4、100 mmol/L KCl、1 mmol/L乙二胺四乙酸、8.8 mmol/L KH2PO4、1 mmol/L MgCl2、1 mmol/L NaN3的比例配制MFI缓冲液。准确称取4 g牛肉样品,加入40 mL 2 ℃的MFI缓冲液,放入高速均质机中,每次匀浆20 s,间隔1 min匀浆3 次。均质后,将浆液移入离心管中,在1 000×g、2 ℃条件下离心15 min,完成后除去上清并重新添加40 mL 2 ℃的MFI缓冲液,在相同条件下离心15 min,除去上清并添加10 mL 2 ℃的MFI缓冲液使沉淀物悬浮。使用滤纸过滤悬浮液,并使用10 mL 2 ℃的MFI缓冲液冲洗离心管。使用双缩脲法测定过滤后的悬浮液蛋白质量浓度(ρ,mg/mL),在540 nm波长处使用MFI缓冲液调整悬浮液蛋白质量浓度至0.5 mg/mL,将MFI缓冲液添加量记为V(mL),MFI按式(2)计算。

1.3.7 胶原蛋白溶解度测定

动物的结缔组织中结构蛋白主要由胶原蛋白构成[23]。胶原蛋白的含量影响肉质的好坏,是判断肉品嫩度的指标之一[24]。酶将结缔组织破坏后,胶原蛋白缺少束缚会变为游离态,进而分解成各种氨基酸。胶原蛋白不能直接测定,一般测定其硝化分解的氨基酸,这些氨基酸中主体是羟脯氨酸,占分解氨基酸的14%~15%,且结构稳定[25],可以通过测定羟脯氨酸的含量,再乘以换算系数7.25得出胶原蛋白含量[26]。羟脯氨酸的含量测定参照GB/T 9695.23—2008《肉与肉制品 羟脯氨酸含量测定》。

胶原蛋白溶解度测定:将10 g肉样匀浆后置于离心机中,4 ℃、1 000×g离心10 min,静置分层。上清液中的羟脯氨酸视为可溶性胶原蛋白,含量记为n1(%),沉淀样液(悬浊液)中的羟脯氨酸视为不可溶性胶原蛋白,含量记为n2(%),胶原蛋白溶解度按式(3)计算。

1.4 数据处理

数据采用Office Excel 2016和SPSS Statistics 26.0软件进行处理,使用Origin 2017软件作图,采用Design Expert 8.0.6软件进行Box-Behnken响应面优化试验设计。

数据规范化表达:持水力规范化得分、硬度规范化得分和规范化综合评分分别按式(4)~(6)计算。

2 结果与分析

2.1 单因素试验结果

2.1.1 木瓜蛋白酶和中性蛋白酶复配比例对牛肉持水力与硬度的影响

由图1可知,复合酶复配比例对嫩化后牛肉持水力、硬度有不同影响,持水力随着木瓜蛋白酶和中性蛋白酶复配比例增加而先增加后降低,当复配比例接近1∶1时持水力达到最高,为72.34%。牛肉硬度随复配比例增加整体呈现上升趋势,且在复配比例达到1∶1之前牛肉硬度呈缓慢增长,而后随着复配比例的增加,硬度的增长速率加快,所以应该将复配比例控制在1∶1。木瓜蛋白酶和中性蛋白酶虽然都可以对肉的肌原纤维进行分解,达到嫩化的目的,但是它们的酶切作用位点、应用范围均不同,木瓜蛋白酶主要作用于肌原纤维及结缔组织,中性蛋白酶主要作用于肌动纤维及弹性蛋白,肉品的持水力主要来源于肌原纤维中细胞的蛋白分子对水分基团的静电作用[27],所以木瓜蛋白酶对肉品持水力的影响比中性蛋白酶大。综上,木瓜蛋白酶和中性蛋白酶最适复配比例为1∶1。

图1 木瓜蛋白酶和中性蛋白酶复配比例对牛肉持水力(A)和硬度(B)的影响
Fig. 1 Effect of mixing ratio between papain and neutral protease on water-holding capacity (A) and hardness (B) of beef

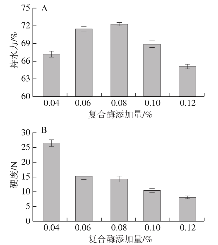
2.1.2 复合酶添加量对牛肉持水力与硬度的影响

由图2可知,随着复合酶添加量增加,牛肉持水力在酶添加范围内呈现先上升后下降的趋势,0.06%~0.10%存在最大值。当复合酶添加量增加时,牛肉中肌纤维部分降解,肌丝间隙扩大,肌纤维包裹的蛋白和游离水接触面积增加,肌肉能束缚更多的游离水,促使细胞的持水能力上升;当复合酶添加量继续增加时,由于牛肉肌纤维过度降解,无法对水分有很好的保持作用,导致持水力下降。硬度随复合酶添加量增加一直呈下降趋势,在添加量为0.10%时下降趋势逐渐放缓。综上,复合酶最适添加量为0.08%。

图2 复合酶添加量对牛肉持水力(A)和硬度(B)的影响
Fig. 2 Effect of enzyme dosage on water-holding capacity (A) and hardness (B) of beef

2.1.3 酶处理时间对牛肉持水力与硬度的影响

由图3可知,随着酶处理时间延长,牛肉持水力呈先上升后下降趋势,且在3 h时持水力达到最高,为73.12%。牛肉硬度随着酶处理时间延长而降低,在酶处理时间为3 h左右时下降幅度变小。由于在长时间酶解过程中牛肉肌纤维不断被破坏,导致牛肉的肌原纤维断裂过度,产生较大的空隙,持水能力逐步降低。中性蛋白酶的失活温度为35~40 ℃,本实验在25 ℃条件下进行,所以随着时间的延长,中性蛋白酶活性逐渐降低,酶逐渐失活。综上,牛肉最适酶处理时间为3 h。

图3 酶处理时间对牛肉持水力(A)和硬度(B)的影响
Fig. 3 Effect of tenderization time on water-holding capacity (A) and hardness (B) of beef

2.2 响应面优化试验结果

2.2.1 优化试验结果

在单因素试验基础上,以复合酶中木瓜蛋白酶和中性蛋白酶复配比例(A)、复合酶添加量(B)和酶处理时间(C)为自变量,以持水力(X)和硬度(Y)通过数据规范化表达获得的综合评分(Z)为响应值,采用Design-Expert 8.0.6软件设计3因素3水平响应面试验,结果见表2。

表2 响应面试验设计及结果
Table 2 Response surface design with response variables

序号 A复配比例B复合酶添加量/%C酶处理时间/h X持水力/%Y硬度/NZ综合评分1 1∶1 0.08 2 72.3 15.398 29.16 2 2∶1 0.10 3 65.1 11.808 21.59 3 1∶1 0.10 3 72.9 14.658 33.16 4 1∶1 0.10 2 67.5 11.282 20.16 5 1∶2 0.08 2 56.7 15.640 20.15 6 1∶2 0.10 3 62.7 14.238 30.16 7 1∶1 0.06 4 65.6 12.272 24.16 8 2∶1 0.08 2 62.8 12.348 23.14 9 1∶1 0.10 4 59.1 15.898 20.16 10 2∶1 0.08 2 66.1 12.022 23.16 11 2∶1 0.06 3 68.8 11.552 22.15 12 2∶1 0.08 4 62.9 12.222 22.56 13 1∶1 0.08 3 70.6 14.638 38.49 14 1∶1 0.08 4 69.6 14.531 32.15 15 1∶1 0.06 2 64.2 17.408 15.06 16 1∶1 0.08 2 72.6 15.468 28.96 17 2∶1 0.06 3 68.1 12.028 24.19

将规范化综合评分(Z)带入Box-Behnken响应面试验方案中,利用Design-Expert进行回归模型及方差分析,得到复配比例(A)、复合酶添加量(B)、酶处理时间(C)与规范化综合评分(Z)的二阶多项式:Z=40.23+1.76A+1.12B+2.14C+2.12AB+2.85AC-2.28BC-6.00A2-9.89B2-10.02C2

由表3可知,模型的F值为26.40且P<0.01,证明模型极显著,具有统计学意义。R2=0.971 4>0.9,证明相关系数与实验值相关性高,模型较好,修正确定系数预测相关系数说明模型需要简化,但对实验结果影响不大。失拟项P=0.108 9>0.05,证明模型拟合程度高,分析结果可用于预测实验结果。其中一次项C,二次项A2B2C2对结果影响极显著(P<0.01)。

表3 方差分析结果
Table 3 Analysis of variance (ANOVA) of quadratic polynomial model

注:*. 显著(P<0.05);**. 极显著(P<0.01)。

方差来源 平方和 自由度 均方 F值 P值模型 545.57 9 60.62 26.40 0.000 1**A 9.98 1 9.98 4.35 0.075 6 B 6.80 1 6.80 296.00 0.128 9 C 35.23 1 35.00 1 534.00 0.005 8**AB 9.11 1 9.11 3.97 0.086 7 AC 20.55 1 20.55 8.95 0.020 2*BC 20.70 1 20.70 9.02 0.019 9*A2 90.78 1 90.78 39.53 0.000 4**B2 297.91 1 297.91 129.73 <0.000 1**C2 243.47 1 243.00 106.03 <0.000 1**残差 16.07 7 2.30 - -失拟项 13.97 4 3.49 4.99 0.108 9纯误差 210.00 3 0.70 - -总差 561.64 16 - - -相关系数(R2) 0.971 4校正决定系数(R2 Adj) 0.934 6预测相关系数(R2 Pred) 0.716 9

由图4可知,交互项ACBC交互作用明显,说明复配比例和酶处理时间之间、复合酶添加量和酶处理时间之间交互作用明显。AB之间交互作用不明显,即复合酶添加量和复配比例交互作用不明显[28]

图4 两因素交互作用对牛肉综合评分影响的响应面图及等高线图
Fig. 4 Response surface and contour plots showing the interactive effects of variables on comprehensive score of beef

2.2.2 模型优化及验证实验

通过回归模型计算出复合酶的最佳实验条件:木瓜蛋白酶、中性蛋白酶复配比例1∶1.19、酶处理时间3.13 h、复合酶添加量0.085%,综合评分为40.57 分。为了便于操作,实际工艺参数为:复配比例1∶1.19、复合酶添加量0.085%、酶处理时间3.1 h。使用实际工艺再次进行牛肉嫩化实验,得到的结果表明,牛肉持水力为75.14%,硬度为14.35 N,综合评分为40.24 分,实际的实验结果与模拟计算的结果偏差为2.58%,说明该配方具有可行性。

2.3 酶法嫩化处理牛肉的肉质特性分析

按照最佳嫩化工艺加工预调理牛肉,并与未进行嫩化的对照组进行比较。由表4可知,牛肉持水力在酶的嫩化作用后有极显著提升(P<0.01),说明经过嫩化的牛肉在蒸煮过程中蒸煮损失将减少,并且能很好保留其营养物质。MFI是一种代表肌原纤维分解程度的指标,在蛋白酶的剪切作用下,牛肉的肌肉纤维被分解,形成小片段。当MFI越大时,证明纤维组织断裂程度越大[29]。牛肉嫩化前后的MFI提升45%,表明复合酶对牛肉肌肉纤维的分解作用显著。另一方面,胶原蛋白溶解度是一种影响肉嫩度的指标[16,30]。通过复合酶的作用,胶原蛋白中的大分子蛋白被分解成小分子蛋白,在降低嫩度的同时,对肉品的理化性质也有提升,所以胶原蛋白溶解度越高,复合酶对产品品质的改善越佳。在复合蛋白酶作用下,牛肉中胶原蛋白溶解度增加29%。经过酶法嫩化后的预调理火锅牛肉剪切力和硬度均显著降低(P<0.05),证明嫩化酶能够有效改善火锅牛肉的肉质。

表4 复合酶嫩化后牛肉各指标对比
Table 4 Comparison of various indexes between control and enzymatically tenderized beef

注:同行大写字母不同,表示差异极显著(P<0.01);同行小写字母不同,表示差异显著(P<0.05)。

指标 对照组 复合酶嫩化组持水力/% 51.79±2.23Ab 71.78±3.11Ba MFI 38.11±1.46ABb 69.11±2.69Aa胶原蛋白溶解度/% 0.12±0.02Ba 0.17±0.02Ab剪切力/N 65.10±0.32Aa 45.69±0.35ABb硬度/N 45.98±0.28Aa 14.04±0.38Ab

通过单因素试验和响应面分析试验,酶处理时间对牛肉嫩化程度的影响最为显著(P<0.01)。复合酶对牛肉的嫩化有显著效果,促使牛肉中的蛋白初步分解,使得持水力增加,从而使得牛肉的显色更好,口感更饱满,嫩度上升。嫩化时间超过4 h后,肌肉纤维被破坏严重,牛肉的持水力降低,口感变柴、变绵,失去嫩化的意义,因此应该控制酶处理时间、温度、酶添加量等因素。本研究从牛肉的理化性质和质构等方面进行研究,得出复合酶对牛肉产品有改善作用,但是尚未对产品的风味变化进行研究,所以复合酶是否会对产品整体风味产生影响,还有待继续研究。

4 结 论

采用木瓜蛋白酶和中性蛋白酶对牛肉进行处理,能够有效改善预调理火锅牛肉的肉质。采用Box-Behnken响应面优化设计对2 种酶的复配比例、复合酶添加量、酶处理时间进行优化,结果表明,最佳嫩化条件为:木瓜蛋白酶和中性蛋白酶复配比例1∶1.19、复合酶添加量0.085%、酶处理时间3.1 h。在确定的最佳工艺条件下加工预调理火锅牛肉,并与常规产品对比,酶法嫩化后牛肉的持水力上升27%,MFI提升45%,胶原蛋白溶解度增加29%,剪切力降低29%,硬度降低69%,产品嫩度得到明显改善。

参考文献:

[1]安红周, 王莉芬, 徐献忠, 等. 不同熟度牛肉与高水分组织蛋白品质特性的比较研究[J]. 食品科技, 2021, 46(3): 74-80. DOI:10.13684/j.cnki.spkj.2021.03.014.

[2]王可. 不同部位青海高原型牦牛肉加工特性与加工适宜性研究[D].郑州: 河南农业大学, 2020: 6-10. DOI:10.27117/d.cnki.ghenu.2020.000198.

[3]朱效兵, 郭瑞. 传统中式风味牛肉干的生产工艺[J]. 现代食品科技, 2020, 36(6): 235-242; 154. DOI:10.13982/j.mfst.1673-9078.2020.6.1265.

[4]田娜娜. 半干猪肉干加工及贮藏稳定性研究[D]. 杨凌: 西北农林科技大学, 2019: 2-9.

[5]张益卓, 李腾, 陈菲菲, 等. 肉干品种及肉干保藏技术研究进展[J]. 食品工业科技, 2021, 42(20): 440-448. DOI:10.13386/j.issn1002-0306.2020090106.

[6]阿依木古丽, 蔡勇, 陈士恩, 等. 反复冷冻-解冻对牛肉品质及组织结构的影响[J]. 食品科学, 2011, 32(7): 109-112.

[7]KEISUKE S, MICHIYO M, TAKUMI N, et al. Characterization and classification of Japanese consumer perceptions for beef tenderness using descriptive texture characteristics assessed by a trained sensory panel[J]. Meat Science, 2014, 96(2): 944-1002. DOI:10.1016/j.meatsci.2013.10.021.

[8]王绍顺, 张宁, 李静, 等. 猪肉用复配嫩化剂配方的响应面优化[J].食品研究与开发, 2015, 36(24): 46-50. DOI:10.3969/j.issn.1005-6521.2015.24.012.

[9]徐月. 肉类嫩化酶及其在畜产品加工中的应用研究[J]. 现代食品,2020(1): 44-45. DOI:10.16736/j.cnki.cn41-1434/ts.2020.01.018.

[10]付丽, 马丽卿, 党美珠, 等. 木瓜蛋白酶协同滚揉对牛排嫩化效果的研究[J]. 黑龙江畜牧兽医, 2018(19): 103-107. DOI:10.13881/j.cnki.hljxmsy.2018.01.0002.

[11]HA M, BEKHIT E D A, CARNE A, et al. Characterisation of commercial papain, bromelain, actinidin and zingibain protease preparations and their activities toward meat proteins[J].Food Chemistry, 2012, 134(1): 95-105. DOI:10.1016/j.foodchem.2012.02.071.

[12]KAZUNOBU O, MASAHITO H, XIA Zhu, et al. A newly derived protein from Bacillus subtilis natto with both antithrombotic and fibrinolytic effects[J]. The Japanese Pharmacological Society, 2005,99(3): 247-251. DOI:10.1254/jphs.FP0050408.

[13]陈星星, 黄振华, 潘道东, 等. 蛋白酶在肉制品加工中的应用进展[J].浙江农业科学, 2019, 60(6): 1000-1002. DOI:10.16178/j.issn.0528-9017.20190647.

[14]余江泳, 李晓瑞, 刘贵珊, 等. 不同蛋白酶对复合骨素酶解液呈味物质的影响[J]. 肉类研究, 2020, 34(5): 1-5. DOI:10.7506/rlyj1001-8123-20200314-069.

[15]HAN J, MORTON J D, BEKHIT A E D, et al. Pre-rigor infusion with kiwifruit juice improves lamb tenderness[J]. Meat Science, 2009,82(3): 324-330. DOI:10.1016/j.meatsci.2009.02.003.

[16]黄彩燕, 张松山, 韩玲, 等. 植物蛋白酶在肉类嫩化中的应用研究进展[J]. 食品与发酵科技, 2017, 53(4): 88-91; 119.

[17]柳艳霞, 张豪, 赵莉君, 等. 木瓜蛋白酶嫩化调理猪排工艺条件的优化[J]. 现代食品科技, 2018, 34(8): 172-179; 23. DOI:10.13982/j.mfst.1673-9078.2018.8.025.

[18]明建, 李洪军. 不同酶嫩化处理对牛肉物性的影响[J]. 食品科学,2008, 29(12): 156-159.

[19]柏晓辉, 李长军, 肖玉芸, 等. 木瓜果醋产品中木瓜蛋白酶活性维持研究[J]. 黄山学院学报, 2018, 20(3): 56-59. DOI:10.3969/j.issn.1672-447X.2018.03.015.

[20]刘树萍, 方伟佳, 冯爽. 响应面法优化超声波辅助姜汁嫩化炸猪排工艺[J]. 肉类研究, 2019, 33(8): 35-41. DOI:10.7506/rlyj1001-8123-20190520-113.

[21]郭强. 手撕牛肉品质提升工艺研究[D]. 成都: 成都大学, 2021.

[22]黄明, 周光宏, 徐幸莲, 等. 不同注射处理对牛肉剪切力和肌原纤维小片化指数的影响[J]. 食品科技, 2005(2): 68-71. DOI:10.3321/j.issn:1002-6630.2005.02.011.

[23]蒋小锋. 不同蛋白酶处理对马肉嫩度及其挥发性风味物质和超微结构的影响[D]. 乌鲁木齐: 新疆农业大学, 2015.

[24]权美平, 张丽华. 肉制品嫩化的生物学方法初探[J]. 农产品加工,2013(12): 36-37.

[25]刘炜熹, 张业辉, 张友胜, 等. 温度对乌鳢鱼皮胶原蛋白肽聚集体结构及理化特性的影响[J]. 肉类研究, 2021, 35(6): 1-9. DOI:10.7506/rlyj1001-8123-20210428-115.

[26]赵改名, 张桂艳, 茹昂, 等. 新疆褐牛不同部位肉品质特性差异分析[J]. 现代食品科技, 2021, 37(2): 261-267; 137.

[27]郑伟. 猪宰后肌肉肌间线蛋白和整联蛋白变化与持水性的关系[D].昆明: 云南农业大学, 2013.

[28]樊金山, 张春雨, 曹正, 等. 响应面法优化姬松茸重组猪肉脯加工工艺[J]. 食品科技, 2021, 46(3): 81-87. DOI:10.13684/j.cnki.spkj.2021.03.015.

[29]FORT P, KAJAVA A V, DELSUC F, et al. Evolution of proteasome regulators in eukaryotes[J]. Genome Biology and Evolution, 2015,57(5): 1363-1379. DOI:10.1093/gbe/evv068.

[30]张桂艳, 祝超智, 茹昂, 等. 胶原蛋白乳化特性影响因素的研究进展[J]. 肉类研究, 2020, 34(10): 82-87. DOI:10.7506/rlyj1001-8123-20200901-213.

Optimization of Enzymatic Tenderization of Pre-conditioned Hot Pot Beef by Response Surface Methodology

ZHANG Lizhitong1, ZHANG Jiamin1,*, WANG Wei1, LIU Dayu2, TANG Yang2, WANG Ke3
(1.Meat Processing Key Laboratory of Sichuan Province, Chengdu 610106, China; 2.College of Food and Bioengineering,Chengdu University, Chengdu 610106, China; 3.Sichuan Zhangfei Beef Co. Ltd., Langzhong 610058, China)

Abstract: The tenderization of pre-conditioned hot pot beef using a mixture of papain and neutral protease was optimized by one-factor-at-a-time approach and response surface methodology. Mixing ratio between the two enzymes, enzyme dosage and treatment time were considered as independent variables, and water-holding capacity and hardness of beef as responses.It was found that the optimal process conditions were determined as follows: mixing ratio between papain and neutral protease 1:1.19, enzyme dosage 0.085%, and treatment time 3.1 h. Compared with the conventional product, the waterholding capacity of enzymatically tenderized beef increased by 27%, the myofibrillar fragmentation index (MFI) increased by 45%, the solubility of collagen increased by 29%, the shear force decreased by 29%, the hardness dropped by 69%, and the tenderness was significantly improved.

Keywords: pre-conditioning; beef; enzymatic method; tenderization process; response surface methodology

收稿日期:2021-11-12

基金项目:四川省科技成果转化项目(2020NZZJ039);四川省科技厅国际合作项目(2019YFH0020);四川省科技计划重点研发项目(2020YFN0153)

第一作者简介:张李智桐(1996—)(ORCID: 0000-0002-0288-6437),男,硕士研究生,研究方向为食品加工与安全。E-mail: 364329454@qq.com

*通信作者简介:张佳敏(1982—)(ORCID: 0000-0001-9688-2199),女,副教授,硕士,研究方向为农产品加工与贮藏工程。E-mail: cdusp@qq.com

DOI:10.7506/rlyj1001-8123-20211112-227

中图分类号:TS251.52

文献标志码:A

文章编号:1001-8123(2022)03-0020-06

引文格式:

张李智桐, 张佳敏, 王卫, 等. 响应面法优化预调理火锅牛肉酶法嫩化工艺[J]. 肉类研究, 2022, 36(3): 20-25.DOI:10.7506/rlyj1001-8123-20211112-227. http://www.rlyj.net.cn

ZHANG Lizhitong, ZHANG Jiamin, WANG Wei, et al. Optimization of enzymatic tenderization of pre-conditioned hot pot beef by response surface methodology[J]. Meat Research, 2022, 36(3): 20-25. DOI:10.7506/rlyj1001-8123-20211112-227.http://www.rlyj.net.cn