牦牛是牛属动物中的稀有物种,它能适应高寒气候,多分布于海拔3 000 米以上的高原地区[1]。中国是牦牛的发源地,目前牦牛数量约为1 600 万头,占全世界总量的95%左右,主要分布在西藏、青海、四川等地[2]。牦牛肉肉质鲜美,富含蛋白质和矿物质,脂肪含量低,营养价值高[3]。但在目前的生产过程中,牦牛肉大都以胴体、四分体销售,对不同部位分割肉的研究相对较少。随着经济社会发展和人民生活水平提高,消费者对肉品的营养价值、风味、口感等提出了更高的要求,对精细化分级分割产品的需求不断增加。
研究表明,不同品种、年龄、分割部位及宰后成熟时间肉的食用品质存在差异[4-6]。Hunt等[7]研究美国安格斯牛和西门塔尔牛不同部位分割肉的品质,发现背最长肌嫩度最佳,深受消费者喜爱。Anderson等[8]研究发现,英国杂交肉牛臀中肌和背最长肌的品质相似,而半膜肌则与背最长肌品质相差较大。王莉等[9]研究电刺激对宰后不同部位牦牛肉成熟过程中嫩度品质的影响,发现背阔肌的嫩化比冈上肌和半腱肌要快。保善科等[1]研究表明,部位对牦牛肉pH值、亮度值(L*)、蒸煮损失、滴水损失和剪切力等食用品质有显著影响。牛肉含有人体所需的各类氨基酸,同时氨基酸也是肉中重要的呈味物质和香味前体物质。牦牛肉的氨基酸总量、必需氨基酸总量和鲜味氨基酸总量均高于黄牛肉[10]。另外,脂肪酸也是肉中的一种重要成分,与人体健康密切相关,同时脂肪酸的含量和组成是影响风味的重要因素[11]。综上所述,不同部位牦牛肉加工适宜性不同,但关于不同部位牦牛肉中氨基酸、脂肪酸的含量差异报道较少。
本研究采集西藏那曲牦牛9 个不同部位的分割肉,测定其常规营养成分、氨基酸和脂肪酸含量,并通过标准化分析和聚类分析研究各种营养成分在不同部位的分布规律,以期为开发高品质的特色牦牛肉产品提供参考。
选取6 头3~5 岁、体质量、年龄相近的西藏那曲公牦牛,在拉萨圣佳屠宰厂屠宰后于4 ℃冷库成熟3 d,采集上脑、里脊、外脊、米龙、臀肉、腱子肉、腹肉、肩肉和胸肉9 个部位的肉样品,剔去筋膜,装入自封袋中,冷冻保存。
ML204/02天平 梅特勒-托利多仪器(上海)有限公司;Ultra TurraxDisperser S25分散器 德国IKA公司;L-8900全自动氨基酸分析仪 日本日立公司;GC-2010气相色谱仪 日本岛津公司。
1.31 样品处理
将9 个不同部位肉样品在4 ℃解冻24 h,用家用小型电动绞肉机绞成肉糜,待测。
1.3.2 常规营养成分测定
分别参照GB 5009.5—2016《食品安全国家标准 食品中蛋白质的测定》[12]中的第一法、GB 5009.6—2016《食品安全国家标准 食品中脂肪的测定》[13]中的第二法、GB 5009.4—2016《食品安全国家标准 食品中灰分的测定》[14]中的第一法及GB 5009.3—2016《食品安全国家标准 食品中水分的测定》[15]中的第一法测定牦牛肉中蛋白质、脂肪、灰分及水分的含量。
1.3.3 氨基酸和脂肪酸测定
参照GB 5009.124—2016《食品安全国家标准 食品中氨基酸的测定》[16]。以6 mol/L盐酸水解牦牛肉,测定牦牛肉中16 种氨基酸的含量;采用4.2 mol/L NaOH水解牦牛肉,测定色氨酸的含量;采用过甲酸氧化法处理牦牛肉,测定胱氨酸的含量。采用AOAC 996.06《食品中脂肪(总脂肪、饱和脂肪、不饱和脂肪)的测定 水解提取气相色谱法》[17]规定的方法,测定牦牛肉中脂肪酸的含量。
1.3.4 蛋白质营养价值评分
采用联合国粮农组织/世界卫生组织(United Nations Food Agriculture Organization/World Health Organization,FAO/WHO)制定的参比氨基酸模式分值的方法评价不同部位牦牛肉的蛋白质营养价值[18]。氨基酸分值(amino acid score,AAS)按照下式计算。
如果AAS高于100,表示其为非限制性氨基酸,如果AAS低于100,表明此氨基酸属于限制性氨基酸。
采用SPSS 18.0软件对数据进行方差分析,选用Duncan's法进行多重比较分析,结果以平均值±标准差表示,以P<0.05作为差异显著性判断标准。采用Matlab软件进行聚类分析。
表1 不同部位牦牛肉常规营养组成
Table 1 General nutritional composition of yak meat from different cuts%

注:同列小写字母不同,表示差异显著(P<0.05)。
部位 蛋白质含量 灰分含量 水分含量 脂肪含量上脑 22.50±1.51a 1.03±0.06bc68.33±2.64b 6.37±1.00b里脊 22.30±1.35a 1.10±0.01ab 72.07±0.59a 3.07±1.50c外脊 24.20±1.13a 1.10±0.01ab 70.90±1.57a 1.27±0.32d米龙 24.10±0.36a 1.10±0.01ab 71.60±0.79a 1.03±0.91d臀肉 22.93±0.42a 1.10±0.01ab 71.50±0.44a 1.17±0.74d腱子肉 23.50±0.56a 0.98±0.04c 73.30±0.26a 1.37±0.32cd腹肉 19.30±0.17b 0.82±0.03d 56.70±1.13c22.47±1.46a肩肉 24.07±0.87a 1.13±0.06a 73.17±0.91a 1.43±0.51cd胸肉 24.00±0.10a 1.07±0.06ab 73.17±1.10a 1.57±0.91cd
由表1可知:9 个不同部位的牦牛肉蛋白质含量为19.30%~24.20%,其中腹肉蛋白质含量最低,为19.30%,外脊蛋白质含量最高,为24.20%;9 个不同部位牦牛肉的水分含量为56.70%~73.30%,其中腹肉最低,为56.70%;9 个不同部位牦牛肉的脂肪含量为1.03%~22.47%,腹肉中脂肪含量显著高于其他各部位(P<0.05),高达22.47%,米龙、外脊、臀肉和肩肉中脂肪含量较低,不足1.5%,上脑中脂肪含量为6.37%。本研究中上脑中脂肪含量明显高于周恒量[19]报道的九龙牦牛肉上脑中脂肪含量(2.11%),这可能与品种、饲料环境等差异有关。
表2 不同部位牦牛肉的氨基酸组成
Table 2 Amino acid composition of yak meat from different cuts

注:氨基酸含量单位均为g/100 g;TAA. 总氨基酸(total amino acid);EAA. 必需氨基酸(essential amino acid);同行小写字母不同,表示差异显著(P<0.05)。表3~4同。
天冬氨酸(Asp) 1.95±0.08b2.12±0.21ab2.32±0.17a2.14±0.23ab2.10±0.06ab2.12±0.09ab1.62±0.07c2.06±0.02ab2.20±0.33ab苏氨酸(Thr) 0.94±0.04b1.02±0.10ab1.13±0.08a1.03±0.12ab1.01±0.04ab1.02±0.05ab0.79±0.04c1.00±0.01ab1.07±0.16ab丝氨酸(Ser) 0.80±0.05ab0.85±0.09a0.93±0.06a0.86±0.10a0.85±0.03a0.88±0.04a0.68±0.04b0.84±0.02a0.90±0.14a谷氨酸(Glu) 3.45±0.13a3.57±0.35a3.99±0.32a3.60±0.51a3.56±0.11a3.80±0.17a2.76±0.15b3.49±0.08a3.75±0.55a甘氨酸(Gly) 0.86±0.06 0.91±0.08 1.01±0.12 1.01±0.10 0.92±0.02 0.97±0.070.83±0.07c0.98±0.13 0.99±0.13丙氨酸(Ala) 1.22±0.06bc1.32±0.13ab1.43±0.11a1.35±0.13ab1.31±0.04ab1.34±0.06ab1.05±0.05c1.30±0.04ab1.37±0.19ab缬氨酸(Val) 1.02±0.04b1.13±0.12ab1.23±0.09a1.14±0.09ab1.11±0.02ab1.09±0.04ab0.86±0.03c1.08±0.01ab1.15±0.15ab蛋氨酸(Met) 0.57±0.02b0.63±0.06ab0.70±0.05a0.64±0.09ab0.63±0.02ab0.61±0.02ab0.47±0.02c0.60±0.01ab0.65±0.10ab异亮氨酸(Ile) 0.96±0.02b1.05±0.10ab1.17±0.09a1.06±0.11ab1.03±0.02ab1.02±0.04ab0.79±0.04c1.01±0.01a1.08±0.14ab亮氨酸(Leu) 1.77±0.07b1.92±0.19ab2.07±0.14a1.91±0.21ab1.88±0.05ab1.92±0.08ab1.47±0.06c1.83±0.02ab1.96±0.30ab酪氨酸(Tyr) 0.59±0.04ab0.65±0.08a0.72±0.07a0.65±0.09a0.64±0.02ab0.65±0.04a0.52±0.04c0.61±0.01ab0.66±0.11a苯丙氨酸(Phe) 0.83±0.04a0.91±0.10a0.97±0.07a0.90±0.10a0.88±0.02a0.90±0.04a0.70±0.03b0.86±0.01a0.92±0.13a赖氨酸(Lys) 1.88±0.07b2.02±0.21ab2.22±0.16a2.04±0.23ab2.01±0.05ab2.05±0.09ab1.56±0.07c1.96±0.02ab2.08±0.31ab组氨酸(His) 0.74±0.02cd0.89±0.09ab0.99±0.05a0.98±0.02a0.94±0.04a0.79±0.03bc0.67±0.02d0.90±0.02ab0.95±0.13ab精氨酸(Arg) 1.30±0.07bc1.36±0.15ab1.53±0.12a1.41±0.20ab1.37±0.06ab1.40±0.05ab1.10±0.08c1.33±0.05a1.45±0.20ab脯氨酸(Pro) 1.22±0.08ab1.27±0.10ab1.40±0.09a1.31±0.16a1.24±0.04ab1.33±0.06a1.09±0.08b1.28±0.09ab1.33±0.15a色氨酸(Try) 0.13±0.01ab0.14±0.01a0.15±0.01a0.15±0.01a0.15±0.01a0.14±0.01a0.10±0.01c0.15±0.01a0.14±0.01a胱氨酸(Cys) 0.29±0.02a0.29±0.03a0.30±0.03a0.30±0.02a0.27±0.02a0.31±0.01a0.22±0.02b0.30±0.01a0.28±0.03a TAA 20.52±0.91b22.04±2.19ab24.25±1.74a22.48±2.46ab21.88±0.62ab22.35±0.94ab17.29±0.87c21.58±0.38ab22.94±3.25ab EAA 8.10±0.30b8.82±0.89ab9.63±0.68a8.88±0.95ab8.70±0.21ab8.77±0.37ab6.75±0.29c8.49±0.07ab9.05±1.30ab EAA/TAA/% 39.45±0.29abc40.00±0.10a39.72±0.31ab39.50±0.25abc39.76±0.20ab39.22±0.29bc39.03±0.27c39.38±0.69abc39.47±0.07abc
由表2可知,9 个不同部位的牦牛肉氨基酸总量存在差异,其含量由大到小依次为外脊>胸肉>米龙>腱子肉>里脊>臀肉>肩肉>上脑>腹肉。腹肉中TAA含量显著低于其他部位,这可能与其脂肪含量最高有关。在测定的18 种氨基酸中,谷氨酸(Glu)的含量最高,其次是赖氨酸、天冬氨酸、亮氨酸、精氨酸,这与周恒量[19]对九龙牦牛和孙亚伟等[20]对褐牛的研究结果一致;色氨酸和胱氨酸的含量相比其他种类的氨基酸较低。牦牛肉氨基酸总量为17.29~24.25 g/100 g,显著高于海南黄牛肉[21]。人体所需的EAA在不同部位牦牛肉中全部被检测出,9 个不同部位的牦牛肉中EAA/TAA为39.03%~40.00%,与FAO/WHO的推荐值40%接近[13],优于海北牦牛肉和大通牦牛肉的EAA/TAA(分别为44.3%、41.4%)[22]。9 个不同部位的牦牛肉EAA含量为6.75~9.63 g/100 g,其中外脊中EAA含量最高,为9.63 g/100 g;上脑和腹肉中EAA含量显著低于外脊(P<0.05),分别为8.10、6.75 g/100 g。组氨酸为小儿生长发育期间的必需氨基酸,外脊、米龙、臀肉中的组氨酸含量显著高于上脑、腱子肉和腹肉(P<0.05);精氨酸是维持婴幼儿生长发育必不可少的氨基酸,其在外脊中的含量最高(1.53 g/100 g),显著高于上脑和腹肉中的含量(P<0.05)。
将表2的EAA含量转换成mg/g蛋白质的形式,与FAO/WHO提出的氨基酸评分标准模式进行对比,分析不同部位牦牛肉的AAS。
表3 不同部位牦牛肉的AAS
Table 3 AAS of yak meat from different cuts

注:*. 第一限制性氨基酸。
部位含量或AAS苏氨酸(Thr)胱氨酸+蛋氨酸(Cys+Met)缬氨酸(Val)苯丙氨酸+酪氨酸(Phe+Tyr)异亮氨酸(Ile)亮氨酸(Leu)赖氨酸(Lys)FAO/WHO模式/(mg/g蛋白质) 40 35 50 60 40 70 55上脑 104.73±3.23 109.08±3.27ab90.98±3.19ab* 105.55±2.87 106.34±5.20bc112.31±3.91 152.28±5.61里脊 114.21±4.63 117.65±4.55a 101.26±4.83a 116.46±6.74 117.19±4.32ab122.79±4.81164.44±6.80外脊 116.55±5.87 118.32±6.13a 101.24±5.08a 115.90±6.86 120.81±5.85a122.12±5.97166.98±8.20米龙 107.00±11.41110.86±11.81ab94.51±6.60ab* 107.14±12.01 110.08±10.48abc113.29±11.14153.78±15.24臀肉 105.90±2.20 107.59±3.39ab92.80±0.50ab* 105.61±2.41 108.05±0.31abc112.19±1.33 152.41±1.98腱子肉 108.83±2.89 112.72±2.63ab92.70±2.49ab* 110.13±3.83 109.00±2.86abc116.74±2.99 158.71±4.44腹肉 102.91±4.22 103.07±4.42b 89.01±2.50b* 104.74±5.03 102.75±4.11c108.85±3.90146.78±5.15肩肉 103.82±2.57 107.02±3.57ab 90.04±3.52b* 101.69±3.71 104.85±3.69bc108.64±2.79 148.18±3.87胸肉 110.92±16.55111.07±13.43ab96.16±12.46ab* 109.67±16.77 112.34±14.00abc116.89±17.43157.83±22.86
由表3可知,里脊和外脊中所有必需氨基酸评分均高于FAO/WHO的推荐值,上脑、米龙、臀肉、腱子肉、腹肉、肩肉及胸肉中除了缬氨酸评分比FAO/WHO的推荐值略低以外,其他氨基酸评分均高于FAO/WHO的推荐值,这说明牦牛肉的蛋白质营养价值非常高,属于优质蛋白质,这与周恒量等[23]对九龙牦牛的研究结果一致。另外,从氨基酸组成角度,本研究表明,里脊和外脊的营养价值要高于其他部位肉。
表4 不同部位牦牛肉的脂肪酸组成
Table 4 Fatty acid composition of yak meat from different cuts g/100 g

注:0.00表示数值小于0.005;-.未检出;SFA. 饱和脂肪酸(saturated fatty acid);MUFA. 单不饱和脂肪酸(monounsaturated fatty acid);PUFA. 多不饱和脂肪酸(polyunsaturated fatty acid);TFA. 总脂肪酸(total fatty acids)。
项目 上脑 里脊 外脊 米龙 臀肉 腱子肉 腹肉 肩肉 胸肉
由表4可知,9 个不同部位的牦牛肉脂肪酸总量存在差异,其脂肪酸总量依次为:腹肉>上脑>里脊>臀肉>外脊>胸肉>肩肉>腱子肉>米龙。在检测到的脂肪酸中,油酸、棕榈酸和硬脂酸含量较高,其中腹肉中的上述3 种脂肪酸含量均为最高,其次为上脑。SFA中棕榈酸(C16:0)和硬脂酸(C18:0)含量最高,二者总含量约占TFA含量的40%左右,这与牛珺等[24]对青海高原牦牛的研究结果较为一致。
Pérezjiménez[25]、Gillingham[26]等的研究表明,MUFA对人体健康有着积极影响,其具有降低胆固醇和低密度脂蛋白的功能,油酸(C18:1)是牦牛肉中含量最高的MUFA,腹肉中的油酸含量高达8.79 g/100 g,上脑中油酸含量为2.73 g/100 g,显著高于其他部位肉(P<0.05)。PUFA能增加蒸煮时产生的香味,并在某种程度上反映肉的多汁性[27],腹肉中的PUFA含量显著高于其他各部位肉(P<0.05)。另外,牦牛肉中也检测到二十二碳六烯酸(docosahexenoic acid,DHA)、二十碳五烯酸(eicosapentaenoic acid,EPA)等n-3脂肪酸,但含量均低于0.01 g/100 g。
9 个不同部位的牦牛肉PUFA中,包括n-3系列的α-亚麻酸和n-6系列的亚油酸、花生四烯酸。n-3和n-6系列PUFA均属于必需脂肪酸,在人体不能自行合成,需要从膳食中获取。当今,随着人们生活水平的提高,饮食中n-6系列PUFA通常是过量的,而n-3系列的PUFA严重不足,因此n-6/n-3的平衡成为最受关注的问题[28]。肉制品PUFA中n-6/n-3比值与各种疾病的发病率呈正相关[29-30]。英国卫生部推荐n-6/n-3比值的最大安全上限为4.0[31],中国营养学会提出膳食中n-6/n-3的最佳比值为4.0~6.0,而本研究中不同部位牦牛肉的n-6/n-3比值为9.87~14.79,高于推荐范围,并且也高于周恒量等[23]对九龙牦牛的研究结果。这可能与牦牛的品种、年龄、营养及环境等因素不同有关。由于牦牛肉中的脂肪含量较低,因此不会引起健康问题。


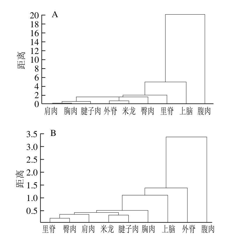
图1 不同部位牦牛肉的聚类分析
Fig. 1 Hierarchical cluster analysis of different cuts of yak meat
从常规营养组分、氨基酸组成及脂肪酸组成角度分别对9 个部位牦牛肉采用中位数聚类法进行系统聚类分析。由图1可知,以常规营养组分聚类,当类间距离为4时,9 个部位牦牛肉分为3 类。第1类为腹肉,第2类为上脑,第3类为肩肉、臀肉、里脊、腱子肉、米龙、胸肉及外脊7 种分割肉,这一类聚集了蛋白质、脂肪含量相近的一类分割肉。以氨基酸组成聚类,当类间距离为1时,9 个部位牦牛肉分为4 类。第1类为腹肉,第2类为外脊,第3类为上脑,第4类为肩肉、臀肉、里脊、腱子肉、米龙及胸肉6 种分割肉。以脂肪酸组成聚类,当类间距离为2时,9 个部位牦牛肉分为3 类。第1类为腹肉,第2类为上脑,第3类为肩肉、臀肉、里脊、腱子肉、米龙、胸肉及外脊7 种分割肉,这与以常规营养组分聚类结果一致。
不同部位西藏那曲牦牛肉均具有很高的营养价值,不同部位牦牛肉中蛋白质、脂肪、氨基酸及脂肪酸等营养素含量存在差异,必需氨基酸占总氨基酸的比例与FAO/WHO的推荐值接近,里脊和外脊能够满足所有膳食氨基酸需要,上脑、米龙、臀肉、腱子肉、腹肉、肩肉和胸肉中,缬氨酸是其限制性氨基酸。油酸、棕榈酸和硬脂酸是牦牛肉中主要的脂肪酸,DHA、EPA等n-3脂肪酸含量较少,n-6/n-3比值高于膳食推荐值。本研究可为高品质特色牦牛肉产品的开发提供数据支持。
[1] 保善科, 张丽, 孔祥颖, 等. 不同部位高原牦牛肉品质评价[J].畜牧兽医学报, 2015, 46(3): 388-394. DOI:10.11843/j.issn.0366-6964.2015.03.006.
[2] ZHANG Li, SUN Baozhong, XIE Peng, et al. Using near infrared spectroscopy to predict the physical traits of Bos grunniens meat[J].LWT-Food Science and Technology, 2015, 64(2): 602-608.DOI:10.1016/j.lwt.2015.06.022.
[3] 拜彬强, 郝力壮, 柴沙驼, 等. 牦牛肉品质特性研究进展[J]. 食品科学, 2014, 35(17): 290-296. DOI:10.3969/j.issn.1004-6704.2012.01.014.
[4] ZHANG Li, SUN Baozhong, YU Qunli, et al. The breed and sex effect on the carcass size performance and meat quality of yak in different muscles[J]. Korean Journal for Food Science of Animal Resources,2016, 36(2): 223-229. DOI:10.5851/kosfa.2016.36.2.223.
[5] WEN Wenting, LUO Xiaolin, XIA Baixue, et al. Post-mortem oxidative stability of three yak (Bos grunniens) muscles as influenced by animal age[J]. Meat Science, 2015, 105: 121-125. DOI:10.1016/j.meatsci.2015.03.014.
[6] ZUO Huixin, HAN Ling, YU Qunli, et al. Proteome changes on waterholding capacity of yak Longissimus lumborum during postmortem aging[J]. Meat Science, 2016, 121: 409-419. DOI:10.1016/j.meatsci.2016.07.010.
[7] HUNT M R, GARMYN A J, O'QUINN T G, et al. Consumer assessment of beef palatability from four muscles from USDA choice and selected graded carcasses[J]. Meat Science, 2014, 98(1): 1-8.DOI:10.1016/j.meatsci.2014.04.004.
[8] ANDERSON M J, LONERGAN S M, FEDLER C A, et al. Profile of biochemical traits influencing tenderness of mucles from the beef round[J]. Meat Science, 2012, 91(3): 247-254. DOI:10.1016/j.meatsci.2012.01.022.
[9] 王莉, 王玉涛, 郭丽君, 等. 电刺激对宰后不同部位牦牛肉成熟过程中微观结构及嫩度的影响[J]. 肉类研究, 2017, 31(11): 7-13.DOI:10.7506/rlyj1001-8123-201711002.
[10] 田甲春, 余群力, 保善科, 等. 不同地方类群牦牛肉营养成分分析[J].营养学报, 2011, 33(5): 531-533. DOI:10.13325/j.cnki.acta.nutr.sin.2011.05.003.
[11] 余力, 贺稚非, 王兆明, 等. 肉中脂肪酸组成与健康关系的研究进展[J]. 食品工业科技, 2014, 35(22): 359-363. DOI:10.13386/j.issn1002-0306.2014.22.071.
[12] 中华人民共和国国家卫生和计划生育委员会, 国家食品药品监督管理总局. 食品安全国家标准 食品中蛋白质的测定:GB 5009.5—2016[S]. 北京: 中国标准出版社, 2016.
[13] 中华人民共和国国家卫生和计划生育委员会, 国家食品药品监督管理总局. 食品安全国家标准 食品中脂肪的测定:GB 5009.6—2016[S]. 北京: 中国标准出版社, 2016.
[14] 中华人民共和国国家卫生和计划生育委员会. 食品安全国家标准食品中灰分的测定: GB 5009.4—2016[S]. 北京: 中国标准出版社,2016.
[15] 中华人民共和国国家卫生和计划生育委员会. 食品安全国家标准食品中水分的测定: GB 5009.3—2016[S]. 北京: 中国标准出版社,2016.
[16] 中华人民共和国国家卫生和计划生育委员会, 国家食品药品监督管理总局. 食品安全国家标准 食品中氨基酸的测定:GB/T 5009.124—2016[S]. 北京: 中国标准出版社, 2016.
[17] AOAC. AOAC Official Method 996.06 (2001). Fat (total, saturated,and unsaturated) in foods: hydrolytic extraction gas chromatographic method[S].
[18] FAO, WHO, University U N. Energy and protein requirements. Report of a joint FAO/WHO/UNU expert consultation[J]. World Health Organization Technical Report, 1985, 724: 1.
[19] 周恒量. 九龙牦牛不同部位肉品质对比研究[D]. 雅安: 四川农业大学, 2016: 19-22.
[20] 孙亚伟, 张笑莹, 张晓红, 等. 新疆褐牛不同部位肌肉氨基酸组成及分析[J]. 新疆农业大学学报, 2010, 33(4): 299-302. DOI:10.3969/j.issn.1007-8614.2010.04.004.
[21] 施力光, 刘诚, 胡显伟, 等. 海南黄牛与其杂交牛肉氨基酸和脂肪酸含量比较研究[J]. 中国草食动物科学, 2018, 38(2): 22-24.DOI:10.3969/j.issn.2095-3887.2018.02.006.
[22] 李维红, 高雅琴, 杨晓玲, 等. 不同牦牛肉氨基酸质量分析[J]. 湖北农业科学, 2018, 57(12): 89-90; 105. DOI:10.14088/j.cnki.issn0439-8114.2018.12.024.
[23] 周恒量, 李诚, 刘爱平, 等. 九龙牦牛不同部位肉中脂肪酸组成分析评价[J]. 食品与生物技术学报, 2017, 36(11): 1225-1231.DOI:10.3969/j.issn.1673-1689.2017.11.015.
[24] 牛珺, 张丽, 孙宝忠, 等. 青海高原牦牛肉宰后成熟过程中脂肪酸组成及含量变化分析[J]. 食品工业科技, 2017, 38(8): 296-303.DOI:10.13386/j.issn1002-0306.2017.08.058.
[25] P É R EZJIM É NEZ F, RUANO J, PEREZMARTINEZ P, et al. The influence of olive oil on human health: not a question of fat alone[J].Molecular Nutrition and Food Research, 2010, 51(10): 1199-1208.DOI:10.1002/mnfr.200600273.
[26] GILLINGHAM L G, HARRIS-JANZ S, JONES P J H. Dietary monounsaturated fatty acids are protective against metabolic syndrome and cardiovascular disease risk factors[J]. Lipids, 2011, 46(3):209-228. DOI:10.1007/s11745-010-3524-y.
[27] 朱玲, 张竹青, 李正友, 等. 华鲮肌肉脂肪酸的组成及营养成分分析[J]. 贵州农业科学, 2010, 38(10): 127-129. DOI:10.3969/j.issn.1001-3601.2010.10.039.
[28] SIMOPOULOS A P. Human requirement for n-3 polyunsaturated fatty acids[J]. Poultry Science, 2000, 79(7): 961-970. DOI:10.1093/ps/79.7.961.
[29] REALINI C E, KALLAS Z, P ÉREZ-JUAN M, et al. Relative importance of cues underlying Spanish consumers' beef choice and segmentation, and consumer liking of beef enriched with n-3 and CLA fatty acids[J]. Food Quality and Preference, 2014, 33: 74-85.DOI:10.1016/j.foodqual.2013.11.007.
[30] SIMOPOULOS A P. The importance of the omega-6/omega-3 fatty acid ratio in cardiovascular disease and other chronic diseases[J].Experimental Biology and Medicine, 2008, 233(6): 674-688.DOI:10.3181/0711-mr-311.
[31] HMSO. Nutritional aspects of cardiovascular disease. Report on health and social subjects No.46[R]. London: HMSO, 1994.
Amino Acid and Fatty Acid Composition and Nutritional Value Evaluation of Different Yak Meat Cuts
侯成立, 李欣, 王振宇, 等. 不同部位牦牛肉氨基酸、脂肪酸含量分析与营养价值评价[J]. 肉类研究, 2019, 33(2): 52-27.DOI:10.7506/rlyj1001-8123-20190121-016. http://www.rlyj.pub
HOU Chengli, LI Xin, WANG Zhenyu, et al. Amino acid and fatty acid composition and nutritional value evaluation of different yak meat cuts[J]. Meat Research, 2019, 33(2): 52-27. DOI:10.7506/rlyj1001-8123-20190121-016. http://www.rlyj.pub