柴佳丽1,张德权2,田建文1,3,*
(1.宁夏大学农学院,宁夏 银川 750021;2.中国农业科学院农产品加工研究所,北京 100193;3.宁夏回族自治区科学技术厅,宁夏 银川 750001)
摘 要:迷迭香提取物具有高效抗氧化、广谱抑菌、高温不降解、食用安全等优良特性,可作为抗氧化剂和防腐剂应用于肉制品中。本文综述了迷迭香提取物在不同肉制品中的保鲜和品质提升作用,并指出迷迭香提取物与其他天然抗氧化剂或贮存环境的协同增效作用,以期为迷迭香提取物在肉制品中的应用研究提供参考。
关键词:迷迭香提取物;肉制品;抗氧化性能;防腐性能
柴佳丽, 张德权, 田建文. 迷迭香提取物在肉制品中应用的研究进展[J]. 肉类研究, 2016, 30(2): 31-34. DOI:10.15922/ j.cnki.rlyj.2016.02.007. http://rlyj.cbpt.cnki.net
CHAI Jiali, ZHANG Dequan, TIAN Jianwen. Progress in the application of rosemary extracts in meat products[J]. Meat Research, 2016, 30(2): 31-34. (in Chinese with English abstract) DOI:10.15922/j.cnki.rlyj.2016.02.007. http://rlyj.cbpt.cnki.net
肉制品在人类生活中是必不可少的食品之一,但因肉制品中脂肪、蛋白质含量丰富,水分活度高,在加工、贮运过程中极易发生腐败和酸败。为保证肉制品的品质,人们常使用抗氧化剂和防腐剂,但合成抗氧化剂和化学防腐剂的安全性备受质疑。目前越来越多的学者开始重视天然抗氧化剂和防腐剂的研究,从种类繁多的天然植物源中选择一种使肉制品感官品质达到理想效果的抗氧化剂和防腐剂已成为众多学者的研究任务之一[1]。迷迭香提取物含有酚、酸、黄酮等主要成分,具有优越的抗氧化性能,其抗氧化性能甚至优于单独的酚类化合物[2],同时,迷迭香提取物会影响细菌细胞膜的通透性、蛋白质代谢和DNA复制,使细菌代谢发生紊乱,从而发挥一定的抑菌作用[3]。在加工肉制品时添加迷迭香提取物,不仅能延缓肉制品中的氧化反应,还能抑制微生物的生长。因此,迷迭香提取物作为天然抗氧化剂和防腐剂在肉制品的研究中具有广阔的应用前景。
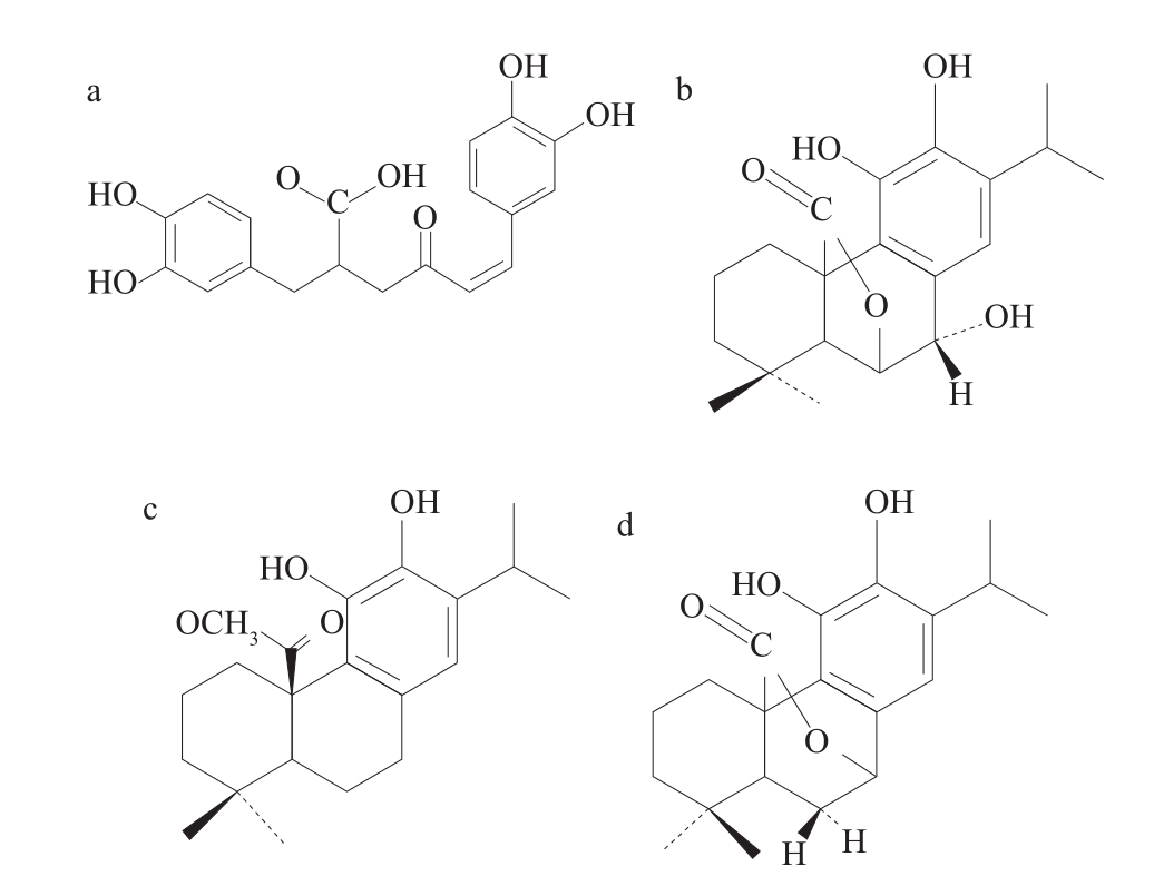
迷迭香(Rosmarinus officinalis L.)原产于地中海地区,1981年中国科学院植物所北京植物园首次引种成功,现在我国多地已开始大面积的种植。迷迭香作为药草和香料一直备受关注,具有抗氧化、抑菌、抗癌、抗炎、延缓衰老等多种生理功能。近年来,研究者致力于迷迭香高抗氧化性能和其成分分析的研究。通过活性氧法(active oxygen content,AOM)测定了30 种香辛料对猪油的抗氧化性能,发现迷迭香和鼠尾草的抗氧化性能最好。迷迭香提取物的抗氧化性能在一定程度上与丁基羟基茴香醚(butyl hydroxy anisd,BHA)和二丁基羟基甲苯(butylated hydroxy toluene,BHT)相当。迷迭香提取物中主要抗氧化成分是迷迭香酸(rosmaric zcid)(图1a)、迷迭香酚(rosmanol)(图1b)、鼠尾草酸(carnosic acid)(图1c)和鼠尾草酚(carnosol)(图1d),其抗氧化作用与总多酚含量密切相关[4]。目前普遍认为迷迭香的抗氧化作用机制在于其能阻断类脂自动氧化的连锁反应,清除自由基,猝灭单重态氧,整合金属离子或有机酸的协同效应[5]。

图1 迷迭香酸(a)、迷迭香酚(b)、鼠尾草酸(cc)、鼠尾草酚(dd)结构式
Fig.1 Chemical structures of rosmaric zcid (a), rosmanol (b), carnosic acid (c) and carnosol (d)
现有的迷迭香提取技术包括有机溶剂提取法、水蒸气蒸馏法、微波提取法、超声波提取法和超临界CO2萃取(supercritical CO2extraction,SCDE)法等。其中微波辅助提取迷迭香挥发油的研究中,当微波功率500 W、处理时间125 s、料液比12.3 mL/g时,提取率达到4.05%[6]。与常规提取法相比,包括有机溶剂提取法、水蒸气提取法,微波辅助提取法的提取效果较好。近年来,超声波提取法和SCDE法受到研究者的广泛关注。王春艳等[7]用超声波法从紫苏中提取迷迭香酸,研究表明提取温度对提取率的影响最显著。葛洪爽等[8]采用响应面法得到超声提取的最佳工艺条件为:乙醇体积分数72.29%、料液比1∶10.05(m/V)、超声时间51.27 min、超声功率200.55 W,在最佳提取工艺条件下,鼠尾草酸和迷迭香酸总得率可达到2.7%。张文成等[9]采用SCDE技术一步提取迷迭香精油及抗氧化剂,所得精油品质纯正,抗氧化活性成分含量高。毕良武等[10]以SCDE技术提取迷迭香抗氧化剂,平均提取率为11.93%。乐振窍等[11]进行SCDE萃取迷迭香抗氧化剂有效成分工艺的研究,确定萃取的最佳工艺条件为萃取釜压力40 MPa、温度80 ℃、水添加量20%、萃取时间2.5 h,在最佳工艺条件下,产品总得率7.2%。
表1 迷迭香提取技术
Table 1 Extraction techniques for rosemary extracts

3.1 迷迭香提取物在肉制品中的抗氧化、防腐作用
3.1.1 在香肠制品中的应用
香肠肉制品是以绞碎的肉和动物脂肪为原料,同盐、糖、发酵剂和香辛料混合后灌进肠衣,经过微生物发酵而制成的具有稳定微生物特性和典型发酵风味的肉制品。香肠在贮存期间容易因光照或氧化作用发生变质和褪色,迷迭香提取物可以作为天然的抗氧化剂添加到香肠中。Sebranek等[21]研究比较了迷迭香提取物、BHA 和BHT对猪肉香肠的抗氧化效果,同时测定了猪肉香肠在贮藏期间的硫代巴比妥酸反应物值(thiobarbituric acid reactive substances,TBARs)和表观色泽,并进行了感观评价,结果表明,猪肉香肠冷藏期间迷迭香提取物添加量在2 500 mg/L时,其抗氧化效果与BHA、BHT相当。添加迷迭香提取物、BHA和BHT的预煮冷冻香肠在贮藏期间的TBARs值都保持较低水平,添加迷迭香提取物的生冻香肠贮藏期间的TBARs值和色泽变化值明显低于添加BHA和BHT的生冻香肠。未伟等[22]进行天然抗氧化剂在乳化香肠贮藏期间色泽变化的研究,结果表明,迷迭香提取物能使香肠的亮度值(L*),红度值(a*),黄度值(b*)保持平稳,能有效延缓香肠变色。Jongberg等[23]的实验表明绿茶提取物(总酚化合物500 mg/L)和迷迭香提取物(总酚化合物400 mg/L)都可以有效地抑制脂肪氧化的TBARs值和蛋白质形成的羰基值增加。Nassu等[24]研究发现0.05%迷迭香对羊肉香肠的抗氧化性能最好。Riznar等[25]研究表明迷迭香提取物既能减缓鸡肉香肠在贮藏期间的氧化,又抑制了需氧细菌的生长。
3.1.2 在火腿制品中的应用
火腿是以鲜肉后腿为原料,经盐渍、烟熏、发酵和干燥等加工步骤制作而成的具有火腿特有风味的生肉制品。迷迭香添加到火腿制品中,可以延缓火腿制品的腐败,提升火腿制品肉色、香气等品质。孙卫清[26]通过测定牛肉和猪肉切片火腿在冷藏期间的表观色泽、色素含量、脂肪氧化的TBARs值和蛋白质氧化形成羰基值以考察迷迭香对火腿制品的护色和抗氧化性能,研究表明,迷迭香在500~1 500 mg/kg范围内可以显著抑制猪肉和牛肉切片火腿的脂肪氧化和色素亚硝酰血色原的降解,有效提高切片火腿的表观红色度。要使迷迭香保持有效的护色和抗氧化效果,牛肉中的用量不应该超过1 000 mg/kg,猪肉中的用量不应该超过500 mg/kg。廖婵等[27]将迷迭香、茶多酚、VE分别喷淋到干腌火腿的表面,4 个月后茶多酚、迷迭香、VE的过氧化值分别比空白对照降低了21%、51%、23%,TBARs值比空白对照降低了12%、57%、36%,研究表明,迷迭香的抗氧化效果最佳且护色效果显著。
3.1.3 在酱卤肉制品中的应用
酱卤肉制品是原料肉加入香辛料和调味料后加水煮制而成的熟肉制品,产品酥软、香味浓郁,不适于贮藏。添加迷迭香可以帮助解决酱卤肉制品的贮藏问题。贾娜等[28]用红曲红色素对酱牛肉进行着色,单独将迷迭香、丁香和肉桂提取物添加到酱牛肉的老汤中,采用老汤为护色剂载体浸泡卤煮、熟制后的酱牛肉,测定酱牛肉贮藏期间的pH值、红度值、色素残留率,并对酱牛肉进行感官评价,研究发现,迷迭香的护色效果显著优于市售护色剂组和丁香提取物。
3.1.4 在其他肉制品中的应用
肉制品的品种繁杂,迷迭香提取物也可以作为天然抗氧化剂和防腐剂添加到其他肉制品中。刘骞等[29]进行迷迭香、丁香、肉桂提取物对冷藏牛肉丸微生物变化和抗氧化性能的研究,并以BHA为对照,结果表明,添加的3 种香辛料中,迷迭香的抗氧化性能最好,但比BHA的抗氧化性能略差些。殷燕等[30]研究表明迷迭香提取物能有效抑制熟猪肉饼的脂肪氧化和微生物生长,并在一定程度上改善其颜色和质构特性。Nissen 等[31]的实验进一步证明了熟肉饼中添加了迷迭香提取物的抗氧化性能要优于添加葡萄皮、茶和咖啡提取物。Doolaege等[32]研究证实迷迭香提取物对延缓猪肝肉酱脂质氧化的效果显著,添加迷迭香提取物的同时亚硝酸钠的添加量从120 mg/kg降低到80 mg/kg时,猪肝肉酱的抗氧化水平和颜色稳定性没有显著的改变。
3.2 迷迭香提取物与抗氧化剂在肉制品中的协同作用
单一抗氧化剂的抗氧化性能存在局限,往往不能满足肉制品的抗氧化需求。迷迭香提取物与一些天然抗氧化剂组成的复配抗氧化剂具有较强的协同增效作用,在肉制品保鲜、护色、抑菌、抑制风味变化等应用中的效果优越。Djenane等[33]将VC分别与α-生育酚、牛磺酸和迷迭香提取物组合,并考察其对牛排抗氧化效果的大小,研究表明,迷迭香提取物与VC组合的复配抗氧化剂对延缓肌红蛋白氧化和脂质过氧化的效果最佳,α-生育酚与VC组合的复配抗氧化剂对牛排的抗氧化效果明显低于另外两个组合的抗氧化效果。Georgantelis等[34]的实验显示,在4 ℃条件下猪肉香肠添加迷迭香提取物和壳聚糖组合的复配抗氧化剂后,猪肉香肠的保质期是只添加迷迭香提取物猪肉香肠保质期的2 倍,复配抗氧化剂的抗菌和抗氧化效果优良。Sánchez-Escalante等[35]也指出迷迭香结合抗坏血酸后能有效延缓牛肉饼的脂肪氧化过程。上述结果说明,迷迭香提取物和天然抗氧化剂组合后的抗氧化效果在肉制品应用研究中的潜力巨大。
3.3 迷迭香提取物与不同包装方式在肉制品中的协同作用
不同的贮藏方式能有效增强迷迭香提取物对肉制品的抗氧化作用。应丽莎等[36]考察迷迭香、迷迭香结合高氧气调包装对猪肉颜色稳定性和抗氧化性能的影响,研究表明,迷迭香对猪肉的抗氧化和护色效果受到高氧气调包装的影响。迷迭香和高氧气调包装结合可以更有效的延缓猪肉脂肪的氧化过程。李大虎等[37]利用大豆分离蛋白掺杂迷迭香制备活性蛋白膜,考察蛋白膜对高氧气调包装下生鲜猪肉的颜色变化和抗氧化稳定性的影响,研究表明,蛋白膜对迷迭香的包埋显著提高了迷迭香对高氧气调包装下猪肉的抗氧化活性。Parks等[38]实验表明迷迭香能抑制高氧气调包装肉制品的脂质氧化。霍晓娜等[39]发现迷迭香提取物结合真空包装能有效控制猪肉脂肪氧化引起的品质劣变。Seydim等[40]的实验表明分离蛋白膜包装增强了迷迭香提取物在肉制品中的抑菌活性。
4
食品的安全性是目前人们普遍关注的问题之一,消费者需要绿色、天然、无污染的健康食品。迷迭香提取物具有抗氧化和抑菌作用且被证实无毒、无害,是一种具有极大发展潜力和广阔市场前景的天然抗氧化剂资源。迷迭香提取物在肉制品中不仅能减缓脂肪和蛋白质的氧化,抑制微生物的生长,还能赋予肉制品一定的风味和维持色泽的稳定。与此同时,迷迭香提取物在肉制品中的应用也存在着一些局限。首先,目前对迷迭香的提取、分离纯化有效成分的工艺研究不够完善,使得迷迭香提取物在肉制品中的应用成本较高。其次,迷迭香提取物对肉制品的抑菌和防腐作用研究相对较少。最后,对迷迭香提取物的有效组分、构效关系、作用机理尚不清楚。为了奠定迷迭香在肉制品中应用的理论依据,必须对迷迭香展开更深入地研究,同时也可考虑迷迭香的医疗和保健价值。今后,迷迭香在肉制品中的广泛应用指日可待。
参考文献:
[1] KARRE L, LOPEZ K, GETTY K J K, et al. Natural antioxidants in meat and poultry products[J]. Meat Science, 2013, 94(2): 220-227. DOI:10.1016/.meatsci.2013.01.007.
[2] HERN˘NDEZ-HERN˘DEZ E, PONCE-ALQUICICA E, LEGARRETA G I, et al. Antioxidant effect rosemary (Rosmarinus officinalis L.) and oregano (Origanum vulgare L.) extracts on TBARS and colour of model raw pork batters[J]. Meat Science, 2009, 81(2): 410-417. DOI:10.1016/ j.Meatsci.2008.09.004.
[3] 孙峋, 汪靖超, 李洪涛, 等. 迷迭香酸的抗菌机理研究[J]. 青岛大学学报, 2005, 18(4): 41-45.
[4] 张慧芸, 孔保华, 孙旭. 香辛料提取物抗氧化活性及作用模式的研究[J]. 食品科学, 2010, 31(5): 111-115.
[5] 石晶, 王金美. 天然抗氧化剂迷迭香在动物性食品中的应用[J]. 肉类研究, 2009, 23(2): 80-83.
[6] 王乃馨. 微波辅助提取迷迭香挥发油的工艺研究[J]. 油脂工程, 2011, 29(2): 58-59.
[7] 王春艳, 刘爱文, 陈忻, 等. 超声波法提取紫苏中迷迭香酸条件的研究[J]. 广东化工, 2010, 37(11): 41-42.
[8] 葛洪爽, 姚欢欢, 张戎睿, 等. 超声辅助同时提取迷迭香鼠尾草酸和迷迭香酸[J]. 食品工业, 2012, 33(5): 3-6.
[9] 张文成, 张海涛, 郑仁娟, 等. 迷迭香精油及抗氧化剂的提取与成分分析[J]. 时珍国医国药, 2011, 22(11): 2723-2725.
[10] 毕良武, 赵振东, 李冬梅, 等. 迷迭香抗氧化剂和精油综合提取技术研究(Ⅲ): 超临界CO2萃取法[J]. 林业化学与工业, 2007, 27(6): 8-12.
[11] 乐振窍, 刘文美. 超临界二氧化碳萃取天然迷迭香抗氧化剂有效成分工艺的研究[J]. 食品工业科技, 2010, 31(2): 283-285.
[12] 熊华, 马力, 皮智梅. 采用有机溶剂提取生姜有效成分[J]. 中国酿造, 2006, 33(4): 86-87.
[13] 董文兵, 张建华. 迷迭香精油的制备及其化学及成分的鉴定[J]. 西北轻工业学院学报, 1995, 13(4): 68-73.
[14] 杨海麟, 鲁时瑛, 杨胜利, 等. 迷迭香抗氧化剂的提取方法研究[J].天然产物研究与开发, 2002, 14(4): 20-23.
[15] BOUSBIA N, VIAN M A, FERHAT M A, et al. Comparison of two isolation methods for essential oil from rosemary leaves: hydrodistillation and microwave hydrodiffusion and gravity[J]. Food Chemistry, 2009, 114(1): 355-362. DOI:10:1016/ j.Foodchem.2008.09.106.
[16] 冯年平, 范广平, 吴春兰, 等. 微波萃取技术在中药提取中的应用[J].世界科学技术, 2002, 4(2): 49-52.
[17] 张自萍. 微波辅助提取技术在多糖研究中的应用[J]. 中草药, 2006(4): 630-632.
[18] HERRERA M C, CASTRO M D L D. Ultrasound-assisted extraction of phenolic componunds from strawberries prior to liquid chromatographic separation and photodiode array ultraviolet detetion[J]. Journal of Chromatography A, 2005, 1100(1): 1-7. DOI:10.1016/j.chroma.2005.09.021.
[19] 邢洁, 张典瑞, 张学顺, 等. 超临界流体萃取-柱色谱联用制备冬凌草甲壳素新工艺的研究[J]. 中国药学杂志, 2005, 40(23): 1804.
[20] 朱凯, 毛连山, 朱新宝. 超临界CO2萃取灵香草精油及其化学成分研究[J]. 精细化工, 2005, 22(9): 681-684.
[21] SEBRANEK J G. Comparison of a natural rosemary extract and BHA/ BHT for relative antioxidant effectiveness in pork sausage[J]. Meat Science, 2005, 69(2): 289-296. DOI:10.1016/j.meatsci.2004.07.010.
[22] 未伟, 张坤生, 任云霞. 几种天然抗氧化剂对乳化香肠色度值的影响[J]. 食品工业科技, 2011, 32(9): 343-345.
[23] JONGBERG S, T±RNGREN M A, GUNVIG A, et al. Effect of green tea or rosemary extract on protein oxidation in Bologna type sausages prepared from oxidatively stressed pork[J]. Meat Science, 2013, 93: 538-546. DOI:10.1016/J.meatsci.2012.11.005.
[24] NASSU R T. Oxidative stability of fermented goat meat sausage with different levels of natural antioxidant[J]. Meat Science, 2003, 63(1): 43-49. DOI:10.1016/S0309-1740(02)00051-7.
[25] RIZNAR K, CELAN S, KNEZ Z, et al. Antioxidant and antimicrobial activity of rosemary extract in chicken frankfurters[J]. Journal of Food Science, 2006, 71(7): 425-429. DOI:10.1111/j.1750-3841.2006.00130.x.
[26] 孙卫青. 迷迭香对西式切片火腿色泽和氧化稳定效应的研究[J]. 食品科技, 2014, 39(4): 116-121.
[27] 廖婵, 靳国锋, 张建浩, 等. 迷迭香、茶多酚、VE对干腌火腿贮藏过程中抗脂质氧化及护色效果的研究[J]. 食品工业科技, 2008, 28(8): 82-86.
[28] 贾娜. 香辛料提取物对酱牛肉的护色效果[J]. 食品与发酵工业, 2014, 40(6): 193-197.
[29] 刘骞, 陈璐, 孔保华. 香辛料提取物对冷藏牛肉丸微生物变化和抗氧化效应的研究[J]. 食品科技, 2013, 38(4): 114-120.
[30] 殷燕, 张万刚, 周光宏, 等. 迷迭香提取物对真空包装熟猪肉饼抗氧化和抑菌效果的影响[J]. 食品科学, 2015, 36(6): 236-241.
[31] NISSEN L R, BYRNE D V, BERTELSEN G, et al. The antioxidative activity of plant extracts in cooked pork patties as evaluted by descriptive sensory profiling and chemical analysis[J]. Meat Science, 2004, 68(3): 485-495. DOI:10.1016/j.meatsci.2004.05.004.
[32] DOOLAEGE E H A, ELS V, KATLEEN R, et al. Effect of rosemary extract dose on lipid oxidation, colour stability and antioxidant concentrations, in reduced nitrite liver pâtés[J]. Meat Science, 2012, 90(4): 925-931. DOI:10.1016/j.meatsci.2011.11.034.
[33] DJENANE D, S˘NCHEZ-ESCALANTE A. Ability of α-tocopherol, taurine and rosemary, in combination with vitamin C, to increase the oxidative stability of beef steaks packaged in modifid atmosphere[J]. Food Chemistry, 2002, 76: 407-415. DOI:10.1016/S0308-8146(01)00286-2.
[34] GEROGANTELIS D, AMBROSIADIS L, KATIKOU P, et al. Effect of rosemary extract, chitosan and α-tocopherol on microbiological parameters and lipid oxidation of fresh pork sausages stored at 4℃[J]. Meat Science, 2007, 76(1): 172-191. DOI:10.1016/ j.meatsci.2006.10.026.
[35] S˘NCHEZ-ESCALANT E, DJENANE D, TORRESCANO G, et al. The effects of ascorbicacid, taurine, carnosine and rosemary powder on colourand lipid stability of beef patties packaged in modified atmosphere[J]. Meat Science, 2001, 58(4): 421-429.
[36] 应丽莎, 赵东方, 傅阳, 等. 迷迭香与高氧气调对生鲜猪肉的护色及抗氧化效果[J]. 食品科学, 2013, 34(2): 256-261.
[37] 李大虎, 应丽莎, 陈玉娇, 等. 含迷迭香的蛋白基薄膜对高氧气调包装生鲜猪肉的护色及抗氧化作用[J]. 食品科学, 2014, 35(24): 321-326. DOI:10.7506/spkx1002-6630-201424062.
[38] PARKS A R H, BRASHEARS M M, MARTIN J N , et al. Shelf life and stability traits of traditionally and modified atmosphere packaged ground beef patties treated with lactic acid bacteria, rosemary oleoresin, or both prior to retail display[J]. Meat Science, 2012, 90(1): 20-27. DOI:10.1016/j.meatsci.2011.05.020.
[39] 霍晓娜, 南庆贤, 刘毅, 等. 不同包装形式和复合天然抗氧化剂对猪肉脂肪氧化的影响[J]. 食品科学, 2006, 27(7): 240-244.
[40] SEYDIM A C, SARIKUS G. Antimicrobial activity of whey protein based edible films incorporated with oregano, rosemary and garlic essential oils[J]. Food Research International, 2006, 39: 639-644.
CHAI Jiali1, ZHANG Dequan2, TIAN Jianwen1,3,*
(1.College of Agriculture, Ningxia University, Yinchuan 750021, China; 2. Institute of Food Science and Technology, Chinese Academy of Agricultural Sciences, Beijing 100193, China; 3. Science and Technology Department of Ningxia, Yinchuan 750001, China)
Abstract: Rosemary extracts have many excellent characteristics such as high thermostability and excellent safety as both highly effective antioxidants and broad-spectrum antimicrobials, and therefore could be used as an antioxidant or preservative in meat products. In order to provide some references for the application of rosemary extracts in meat products, we herein review the role of rosemary extracts in maintaining and improving the quality of different meat products, and point out their synergistic antioxidant effects with other natural antioxidants or the packaging.
Key words: rosemary extracts; meat product; antioxidant properties; preservative properties
*通信作者:田建文(1965—),男,教授,博士,研究方向为农产品加工与贮藏。E-mail:tjw6789@126.com
作者简介:柴佳丽(1990—),女,硕士研究生,研究方向为肉品科学与工程。E-mail:cjl2016@126.com
基金项目:公益性行业(农业)科研专项(201203009);国家农业科技创新工程项目
收稿日期:2015-10-16
中图分类号:TS251.5
文献标志码:A
文章编号:1001-8123(2016)02-0031-04
DOI:10.15922/j.cnki.rlyj.2016.02.007
引文格式: